活动空间视角下的老年群体地铁出行时空特征
|
熊美成(1998—),女,四川什邡人,硕士,主要研究方向为城市交通与出行行为,(E-mail)xiongmc.20s@igsnrr.ac.cn; |
收稿日期: 2022-01-27
修回日期: 2022-02-21
网络出版日期: 2023-01-05
基金资助
中国科学院青年创新促进会(2021049)
国家自然科学基金项目(42121001)
Spatiotemporal Characteristics of Subway Travel by the Elderly Based on Activity Space: A Case Study of Kunming
Received date: 2022-01-27
Revised date: 2022-02-21
Online published: 2023-01-05
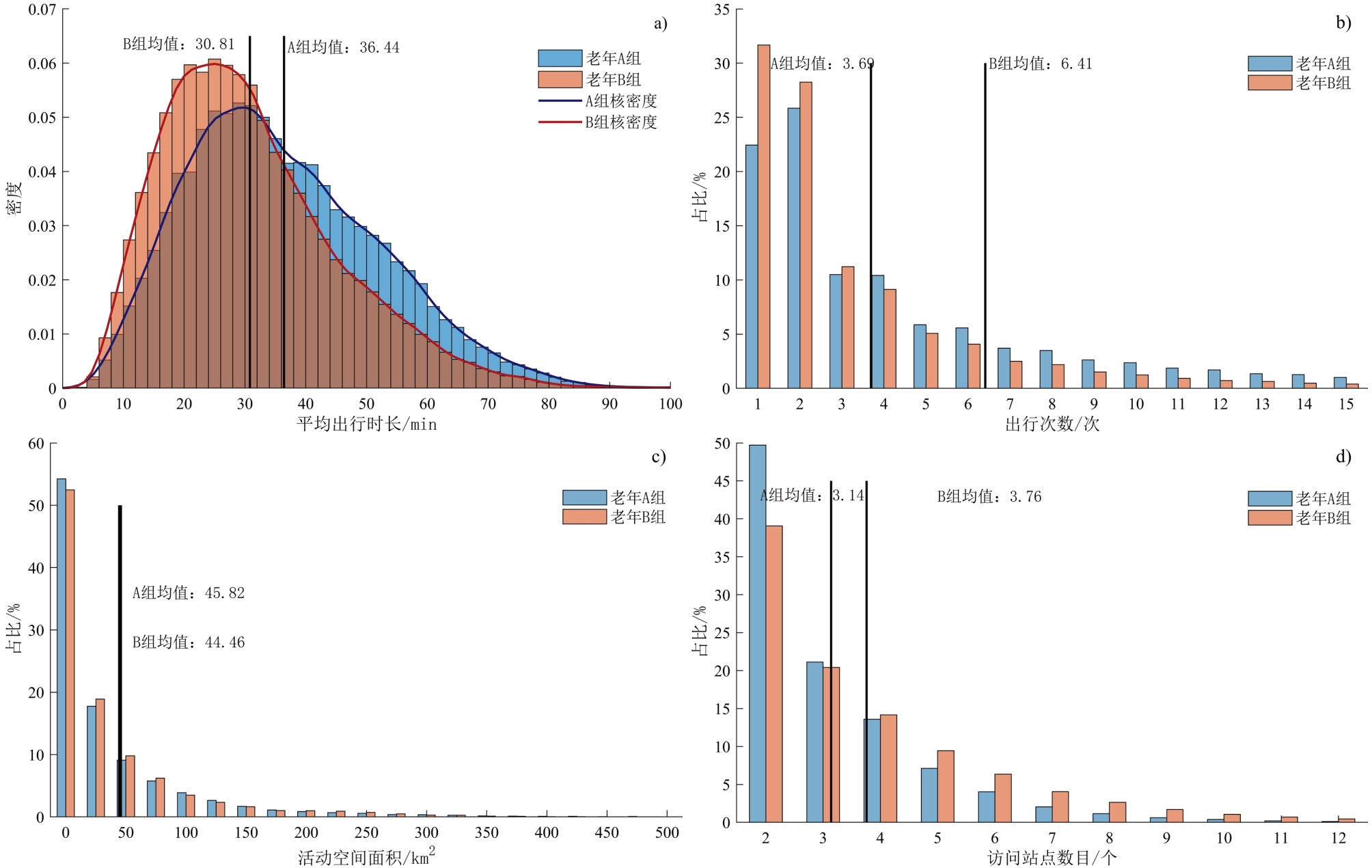
运用昆明市老年公交爱心卡和常规地铁刷卡数据,考虑老龄化不同程度的影响,剖析老年群体的地铁出行特征,并从活动空间的视角重点解析和对比低龄老年群体和高龄老年群体的地铁日常出行和活动模式。结果显示:1)同非老年群体相比,老年群体移动性更低,出行时刻集中于早高峰时段,活动范围相对集中于市中心。2)随年龄增长,老年群体的移动性进一步降低,活动空间收缩,但对公共交通的依赖性增强。相较于低龄老年群体(60~69岁),高龄老年群体(≥70岁)具有“出行频次高、活动空间范围小”的出行特征。3)低龄老年和高龄老年群体的活动空间分布存在明显分异,其中高龄老年群体的活动空间向居住密集区聚集,且出行在较大程度上受建成环境的制约。
熊美成 , 黄洁 , 王姣娥 , 杨浩然 . 活动空间视角下的老年群体地铁出行时空特征[J]. 热带地理, 2022 , 42(12) : 2052 -2062 . DOI: 10.13284/j.cnki.rddl.003596
With the aging of society, the travel activities of the elderly, as a vital part of resident travel, have become the focus of transportation management in most cities. The widespread application of big data has enabled travel behavior to be analyzed in more detail, with the results revealing actual travel patterns and helping to gain an in-depth understanding of the daily travel of residents. In studies on travel patterns, several methods can be used to analyze the daily activity patterns of the elderly by combining big data with the theory of activity space. However, studies on the internal disparity in the travel behavior of the elderly remain limited. Hence, we conducted a comparative analysis of the travel behavior of age groups within the elderly from the perspective of activity space based on the smart card data of the Kunming subway system. In the analysis, we first compared the basic travel behavior of the elderly and nonelderly. Based on the findings, we divided the elderly who took the subway into 60-69- and over-70-year-old groups. Second, we compared the travel behavior and activity spaces of these two groups using a statistical and spatial analysis approach. The results showed significant differences between the elderly and nonelderly groups, the 60-69-year-old group, and the over-70-year-old group. (1) We found spatiotemporal differences in travel behavior between the elderly and nonelderly. Compared to the nonelderly group, the elderly group was less mobile. Their single-subway travel duration and frequency were lower, and they traveled more during the early peak hours. Their activity range was relatively concentrated in the city center, and their travel purposes showed a stronger orientation toward leisure and medical needs. (2) With increasing age, the elderly were less mobile, and their dependence on public transport increased. In detail, the over-70-year-old group had a shorter travel duration as well as a smaller activity space, whereas their travel frequency and number of visited stations were higher than those of the primary age group. Compared with the 60-69-year-old group, the daily activity pattern of the elderly over 70 years old could be summarized as being within a smaller activity space and higher in frequency. (3) The distribution of activity spaces of the two elderly groups was similar to each other, both in areas along metro lines 1, 2, and 3, without line 6. It indicated that the daily activities of the elderly mainly occur in central urban areas with high population densities. Regarding differences, the activity spaces of those over 70 years old were more concentrated in the densely inhabited districts along metro line 3, whereas the activity spaces of the 60-69-year-old group spread to low-density areas in the south and east. These findings may imply that factors, such as the built environment, largely restrict the subway travel of older people. In other words, their daily activities rely on facilities and transit more heavily. In conclusion, our results reveal the subway travel behavior and daily activity patterns of different-aged elderly groups, which verify the feasibility of smart card data in activity space analysis. Additionally, our study provides ideas for urban planning and transportation management in the aging era to promote social space equity.
表1 昆明市老年群体与非老年群体各项出行特征对比与Mann-Whitney U检验结果Table 1 Comparison of all travel characteristics and Mann-Whitney U test results of the elderly group and nonelderly group |
| 出行特征指标 | 老年群体 | 非老年群体 | 检验结果 | ||||||||
|---|---|---|---|---|---|---|---|---|---|---|---|
| 平均值 | 最大值 | 最小值 | 标准差 | 平均值 | 最大值 | 最小值 | 标准差 | w值 | p值 | ||
| 平均出行时长/min | 33.08 | 119.05 | 3.17 | 15.24 | 35.27 | 120 | 3.02 | 16.79 | 1.04E+11 | 2.20E-16 | |
| 出行次数/次 | 5.35 | 171 | 1 | 7.75 | 5.43 | 227 | 1 | 8.29 | 1.15E+11 | 2.20E-16 | |
| 访问站点数量/个 | 3.52 | 27 | 2 | 2.03 | 3.51 | 49 | 2 | 2 | 1.12E+11 | 0.181 2 | |
|
表2 昆明市老年A组与老年B组各项出行特征对比和Mann-Whitney U检验结果Table 2 Comparison of all travel characteristics and Mann-Whitney U test results between the elderly group A and elderly group B |
| 出行特征指标 | 老年A组 | 老年B组 | 检验结果 | |||||||
|---|---|---|---|---|---|---|---|---|---|---|
| 平均值 | 最大值 | 最小值 | 标准差 | 平均值 | 最大值 | 最小值 | 标准差 | w值 | p值 | |
| 平均出行时长/min | 36.44 | 115.48 | 3.72 | 15.86 | 30.91 | 119.05 | 3.17 | 14.41 | 1.81E+09 | 2.20E-16 |
| 出行次数/次 | 3.69 | 88 | 1 | 4.72 | 6.41 | 171 | 1 | 9.02 | 1.17E+09 | 2.20E-16 |
| 访问站点数目/个 | 3.13 | 19 | 2 | 1.61 | 3.76 | 27 | 2 | 2.23 | 1.25E+09 | 2.20E-16 |
| 活动空间面积/km2 | 45.82 | 522.16 | 0 | 61.56 | 44.46 | 594.04 | 0 | 64.53 | 4.90E+08 | 2.20E-16 |

1 根据3.1小节的计算结果,老年群体工作日和双休日出行时空特征差异较小,故将所有记录合并计算,不再基于工作日和双休日展开对比。
熊美成:构思全文、数据处理与分析、论文撰写与修改;
黄 洁:构思全文、提供理论和方法指导、论文撰写与修改;
王姣娥:提出意见、论文修改与提升;
杨浩然:数据支持及提出意见。
|
Alfa A S. 1986. Scheduling of Vehicles for Transportation of Elderly. Transportation Planning and Technology, 11(3): 203-212.
|
|
Alon D, Shitrit P and Chowers M. 2010. Risk Behaviors and Spectrum of Diseases among Elderly Travelers: A Comparison of Younger and Older Adults. Journal of Travel Medicine, 17(4): 250-255.
|
|
Alsnih R and Hensher D A. 2003. The Mobility and Accessibility Expectations of Seniors in an Ageing Population. Transportation Research Part A: Policy and Practice, 37(10): 903-916.
|
|
Buehler R and Nobis C. 2010. Travel Behavior in Ageing Societies: Comparison of Germany and the United States. Transportation Research Record, 2182(1): 62-70.
|
|
Burgman M A and Fox J C. 2003. Bias in Species Range Estimates from Minimum Convex Polygons: Implications for Conservation and Options for Improved Planning. Animal Conservation, 6(1): 19-28.
|
|
曹新宇. 2015. 社区建成环境和交通行为研究回顾与展望:以美国为鉴. 国际城市规划,30(4):46-52.
Cao Xinyu. 2015. Examining the Relationship between Neighborhood Built Environment and Travel Behavior: A Review from the US Perspective. Urban Planning International, 30(4): 46-52.
|
|
柴彦威,刘璇. 2002. 城市老龄化问题研究的时间地理学框架与展望. 地域研究与开发,(3):55-59.
Chai Yanwei and Liu Xuan. 2002. A Time Geographical Framework and Prospect of Urban Ageing Study. Areal Research and Development, (3): 55-59.
|
|
Cheng L, De Vos J, Shi K, Yang M, Chen X and Witlox F. 2019. Do Residential Location Effects on Travel Behavior Differ between the Elderly and Younger Adults?. Transportation Research Part D: Transport and Environment, 73: 367-380.
|
|
Cutler S J. 1972. The Availability of Personal Transportation, Residential Location, and Life Satisfaction among the Aged. Journal of Gerontology, 27(3): 383-389.
|
|
Cutler S J and Coward R T. 1992. Availability of Personal Transportation in Households of Elders: Age, Gender, and Residence Differences. The Gerontologist, 32(1): 77-81.
|
|
Du F, Mao L and Wang J. 2021. Determinants of Travel Mode Choice for Seeking Healthcare: A Comparison between Elderly and Non-Elderly Patients. Journal of Transport Geography, 92: 103023.
|
|
Fan Y and Khattak A J. 2008. Urban Form, Individual Spatial Footprints, and Travel: Examination of Space-Use Behavior. Transportation Research Record, 2082(1): 98-106.
|
|
冯建喜,杨振山. 2015. 南京市城市老年人出行行为的影响因素. 地理科学进展,34(12):1598-1608.
Feng Jianxi and Yang Zhenshan. 2015. Factors Influencing Travel Behavior of Urban Elderly People in Nanjing. Progress in Geography, 34(12): 1598-1608.
|
|
Feng J. 2017. The Influence of Built Environment on Travel Behavior of the Elderly in Urban China. Transportation Research Part D: Transport and Environment, 52: 619-633.
|
|
高晓路,吴丹贤,许泽宁,颜秉秋. 2015. 中国老龄化地理学综述和研究框架构建. 地理科学进展,34(12):1480-1494.
Gao Xiaolu, Wu Danxian, Xu Zening and Yan Bingqiu. 2015. Urban Elders’ Desirable Caring Patterns and Its Rationality: A Decision Tree Analysis. Progress in Geography, 34(12): 1480-1494.
|
|
Giuliano G. 2004. Land Use Impacts of Transportation Investments. The Geography of Urban Transportation. The Geography of Urban Transportation, 3: 237-273.
|
|
Handy S, Cao X and Mokhtarian P. 2005. Correlation or Causality between the Built Environment and Travel Behavior? Evidence from Northern California. Transportation Research Part D: Transport and Environment, 10(6): 427-444.
|
|
Hasanzadeh K, Heinonen J, Ala-Mantila S, Czepkiewicz M, Kyttä M and Ottelin J. 2019. Beyond Geometries of Activity Spaces. Journal of Transport and Land Use, 12(1): 149-177.
|
|
Hirsch J A, Winters M, Clarke P and McKay H. 2014. Generating GPS Activity Spaces that Shed Light upon the Mobility Habits of Older Adults: A Descriptive Analysis. International Journal of Health Geographics, 13(1): 1-14.
|
|
Hu X, Wang J and Wang L. 2013. Understanding the Travel Behavior of Elderly People in the Developing Country: A Case Study of Changchun, China. Procedia-Social and Behavioral Sciences, 96: 873-880.
|
|
黄建中,吴萌. 2015. 特大城市老年人出行特征及相关因素分析——以上海市中心城为例. 城市规划学刊,(2):93-101.
Huang Jianzhong and Wu Meng. 2015. An Investigation and Analysis of Travel Characteristics and Related Factors of the Elderly Population in Megacities: The Case of the Central Area in Shanghai. Urban Planning Forum, (2): 93-101.
|
|
黄洁,王姣娥,靳海涛,金凤君. 2018. 北京市地铁客流的时空分布格局及特征——基于智能交通卡数据. 地理科学进展,37(3):397-406.
Huang Jie, Wang Jiao'e, Jin Haitao and Jin Fengjun. 2018. Investigating Spatiotemporal Patterns of Passenger Flows in the Beijing Metro System from Smart Card Data. Progress in Geography, 37(3): 397-406.
|
|
Huang W, Li S, Liu X and Ban Y. 2015. Predicting Human Mobility with Activity Changes. International Journal of Geographical Information Science, 29(9): 1569-1587.
|
|
Ipingbemi O. 2010. Travel Characteristics and Mobility Constraints of the Elderly in Ibadan, Nigeria. Journal of Transport Geography, 18(2): 285-291.
|
|
Kestens Y, Lebel A, Chaix B, Clary C, Daniel M, Pampalon R, Theriault M and Subramanian S. V. p. 2012. Association between Activity Space Exposure to Food Establishments and Individual Risk of Overweight. PLoS One. 7(8): e41418.
|
|
李小云,田银生,陈锦棠. 2011. 老龄化社会背景下对我国城市规划的思考. 热带地理,31(6):575-579.
Li Xiaoyun, Tian Yinsheng and Chen Jintang. 2011. Reflections of Urban Planning on the Context of an Aging Society. Tropical Geography, 31(6): 575-579.
|
|
刘爱华,叶植材. 2020. 中国统计年鉴-2020. 北京:中国统计出版社,33. [Liu Aihua and Ye Zhicai. 2020. China Statistical Yearbook 2020. Beijing: China Statistics Press, 33. ]
|
|
Liu S, Yamamoto T, Yao E and Nakamura T. 2021. Examining Public Transport Usage by Older Adults with Smart Card Data: A Longitudinal Study in Japan. Journal of Transport Geography, 93: 103046.
|
|
Liu Z, Ma J and Chai Y. 2017. Neighborhood-Scale Urban Form, Travel Behavior, and CO2 Emissions in Beijing: Implications for Low-Carbon Urban Planning. Urban Geography, 38(3): 381-400.
|
|
Logue B J. 1987. Public Transportation Disability and the Elderly: An Assessment Based on 1980 Census Data. Population Research and Policy Review, 6(2): 177-193.
|
|
Massey D S and Denton N A. 1988. The Dimensions of Residential Segregation. Social Forces, 67(2): 281-315.
|
|
Mokhtarian P L. 2005. Travel as a Desired End, not Just a Means. Transportation Research Part A: Policy and Practice, 39(2/3): 93-96.
|
|
Newbold K B, Scott D M, Spinney J E L, Kanaroglou P and Páez A. 2005. Travel behavior within Canada's Older Population: A Cohort Analysis. Journal of Transport Geography, 13(4): 340-351.
|
|
Newsome T H, Walcott W A and Smith P D. 1998. Urban Activity Spaces: Illustrations and Application of a Conceptual Model for Integrating the Time and Space Dimensions. Transportation, 25(4): 357-377.
|
|
Pelletier M P, Trépanier M and Morency C. 2011. Smart Card Data Use in Public Transit: A Literature Review. Transportation Research Part C: Emerging Technologies, 19(4): 557-568.
|
|
Roorda M J, Páez A, Morency C, Mercado R and Farber S. 2010. Trip Generation of Vulnerable Populations in Three Canadian Cities: A Spatial Ordered Probit Approach. Transportation, 37(3): 525-548.
|
|
Schönfelder S and Axhausen K W. 2003. Activity Spaces: Measures of Social Exclusion?. Transport Policy, 10(4): 273-286.
|
|
Shao F, Sui Y, Yu X, and Sun R. 2019. Spatio-Temporal Travel Patterns of Elderly People–A Comparative Study Based on Buses Usage in Qingdao, China. Journal of Transport Geography, 76: 178-190.
|
|
Sherman J E, Spencer J, Preisser J S, Gesler W M and Arcury T A. 2005. A Suite of Methods for Representing Activity Space in a Healthcare Accessibility Study. International Journal of Health Geographics, 4(1): 1-21.
|
|
Shi Z, Pun-Cheng L S C, Liu X, Lai J H, Tong C Z, Zhang A S, Zhang M and Shi W Z. 2020. Analysis of the Temporal Characteristics of the Elderly Traveling by Bus Using Smart Card Data. ISPRS International Journal of Geo-Information, 9(12): 751.
|
|
宋瑾霞,杨辉平. 2020. 昆明统计年鉴-2020. 北京:中国统计出版社,40.
Song Jinxia and Yang Huiping. 2020. Kunming Statistical Yearbook 2020. Beijing: China Statistics Press, 40.
|
|
Szeto W Y, Yang L, Wong R C P, Li Y C and Wong S C. 2017. Spatio-Temporal Travel Characteristics of the Elderly in an Ageing Society. Travel Behaviour and Society, 9: 10-20.
|
|
塔娜,柴彦威,关美宝. 2015. 北京郊区居民日常生活方式的行为测度与空间—行为互动. 地理学报,70(8):1271-1280.
Ta Na, Chai Yanwei and Kwan Meipo. 2015. Suburbanization, Daily Lifestyle and Space-Behavior Interaction in Beijing. Acta Geographica Sinica, 70(8): 1271-1280.
|
|
王波,甄峰,魏宗财. 2014. 南京市区活动空间总体特征研究——基于大数据的实证分析. 人文地理,29(3):14-21,55.
Wang Bo, Zhen Feng and Wei Zongcai. 2014. The Research on Characteristics of Urban Activity Space in Nanjing: An Empirical Analysis Based on Big Data. Human Geography, 29(3): 14-21, 55.
|
|
Wilson D. 1981. Transportation for the Elderly: Changing Lifestyles, Changing Needs. Urban Studies, 18: 251-253.
|
|
杨文越,李昕,叶昌东. 2019. 城市绿地系统规划评价指标体系构建研究. 规划师,35(9):71-76.
Yang Wenyue, Li Xin and Ye Changdong. 2019. Evaluation Index System for Urban Green System Planning. Planners, 35(9): 71-76.
|
|
Yang Y, Xu Y, Rodriguez D A, Michael Y and Zhang H. 2018. Active Travel, Public Transportation Use, and Daily Transport among Older Adults: The Association of Built Environment. Journal of Transport & Health, 9: 288-298.
|
|
叶昌东,冯碧盈,姚华松,代丹丹. 2021. 广州地铁站点交通流特征与居民地铁出行的人群分异. 热带地理,41(5):918-927.
Ye Changdong, Feng Biying, Yao Huasong and Dai Dandan. 2021. Traffic Flow of Metro Stations and Population Travel Differentiation in Guangzhou. Tropical Geography, 41(5): 918-927.
|
|
曾通刚,赵媛. 2019. 中国老龄事业发展水平时空演化及其与经济发展水平的空间匹配. 地理研究,38(6):1497-1511.
Zeng Tonggang and Zhao Yuan. 2019. Spatial and Temporal Evolution of the Undertakings for the Elderly and Spatial Mismatch of Economy in China. Geographical Research, 38(6): 1497-1511.
|
|
Zhang S Q, Yang Y, Zhen F, Lobsang T and Li Z X. 2021. Understanding the Travel Behaviors and Activity Patterns of the Vulnerable Population Using Smart Card Data: An Activity Space-Based Approach. Journal of Transport Geography, 90: 102938.
|
|
Zhang Y, Yao E, Zhang R and Xu H. 2019. Analysis of Elderly People's Travel Behaviours during the Morning Peak Hours in the Context of the Free Bus Programme in Beijing, China. Journal of Transport Geography, 76: 191-199.
|
|
赵莹,柴彦威,关美宝. 2014. 中美城市居民出行行为的比较——以北京市与芝加哥市为例. 地理研究,33(12):2275-2285.
Zhao Ying, Chai Yanwei and Kwan Meipo. 2014. Comparison of Urban Residents' Travel Behavior in China and the U.S.: A Case Study between Beijing and Chicago. Geographical Research, 33(12): 2275-2285.
|
|
周春山,童新梅,胡锦灿. 2017. 西方国家老龄化地理研究进展及启示. 世界地理研究,26(2):140-151.
Zhou Chunshan, Tong Xinmei and Hu Jincan. 2017. Progress on Geographies of Ageing in Western Countries and Its Implications for Studies in China. World Regional Studies, 26(2): 140-151.
|
/
| 〈 |
|
〉 |