韧性适应与综合减灾策略

山地乡村社区灾害韧性评价——以凉山州安宁河流域典型代表性乡村为例

  • 吴元飞 ,
  • 刘梦颖 ,
  • 田兵伟 ,
  • 田人杰 ,
  • 胡逸凡
展开
  • 四川大学—香港理工大学 灾后重建与管理学院,成都 610207
田兵伟(1983—),男,甘肃天水人,博士,副教授,主要从事社区韧性和综合减灾研究,(E-mail)

吴元飞(1998—),男,安徽铜陵人,硕士研究生,主要从事乡村防灾减灾研究,(E-mail)

收稿日期: 2024-11-22

  修回日期: 2025-02-16

  网络出版日期: 2025-04-22

基金资助

国家自然科学基金委员会:国际(地区)合作与交流项目(可持续发展国际合作科学计划)重点项目子课题——跨喜马拉雅经济走廊滑坡型多灾种形成机制与韧性社区构建(42361144880)

Disaster Resilience Evaluation of Mountainous Rural Communities: A Case Study of Representative Villages in the Anning River Basin, Liangshan Prefecture

  • Yuanfei Wu ,
  • Mengying Liu ,
  • Bingwei Tian ,
  • Renjie Tian ,
  • Yifan Hu
Expand
  • Institute for Disaster Management and Reconstruction, Sichuan University-Hong Kong Polytechnic University, Chengdu 610207, China

Received date: 2024-11-22

  Revised date: 2025-02-16

  Online published: 2025-04-22

摘要

为提升山地乡村社区灾害韧性评价的科学性与实践价值,文章基于PSR(压力―状态―响应)模型,融合熵值法与(AHP)层次分析法,构建了包含3个维度(压力韧性、状态韧性、响应韧性)、9个要素、32项指标的多层级评价体系,并以四川省凉山州安宁河流域的4个典型社区(桃源村、曹古村、牛郎村、群英村)为例,结合实地调研、GIS空间分析及多源数据进行实证研究。结果表明:1)社区综合韧性排序为桃源村>牛郎村>群英村>曹古村,桃源村因全国防灾示范社区建设,韧性最高,而曹古村因高海拔地形和基础设施滞后,韧性最低;2)状态韧性对总体韧性贡献度最高,其中C9村民住宅建筑质量为核心驱动因素,压力韧性中C2单侧距活动断层距离与C6地质灾害隐患点威胁人数显著影响风险等级,响应韧性依赖C26灾害监测设备与C27预警信息发布效率;3)基于“压力―状态―响应”协同优化路径,提出差异化防灾策略,包括风险区划与工程治理(压力层)、住房抗震改造与社会资本培育(状态层)、智慧预警与传统知识融合(响应层)。文章验证了PSR模型在山地乡村灾害韧性评价的适用性,揭示了“状态韧性主导、响应能力短板”的典型特征,为同类社区防灾规划提供方法论支持。

本文引用格式

吴元飞 , 刘梦颖 , 田兵伟 , 田人杰 , 胡逸凡 . 山地乡村社区灾害韧性评价——以凉山州安宁河流域典型代表性乡村为例[J]. 热带地理, 2025 , 45(4) : 704 -718 . DOI: 10.13284/j.cnki.rddl.20240758

Abstract

To enhance the scientific rigor and practical relevance of disaster resilience evaluation in mountainous rural communities, this study developed a multilevel assessment framework based on the Pressure-State-Response (PSR) model by integrating the entropy method and Analytic Hierarchy Process (AHP). The framework comprised three dimensions (pressure, state, and response), nine elements, and 32 indicators tailored to the unique environmental and socioeconomic contexts of mountainous regions. Focusing on four representative communities (Taoyuan, Caogu, Niulang, and Qunying) in the Anning River Basin of Liangshan Prefecture, Sichuan Province, China, a combination of field surveys, GIS spatial analysis, and multi-source datasets were used to empirically evaluate community resilience. The key findings revealed the following: (1) The comprehensive resilience scores ranked Taoyuan > Niulang > Qunying > Caogu. Taoyuan's top performance stemmed from its designation as a national disaster prevention demonstration community featuring robust infrastructure and frequent emergency drills, whereas Caogu's lowest resilience resulted from its high-altitude topography, aging population, and inadequate infrastructure. (2) State resilience contributed most significantly to overall resilience (51.43%), with the building quality (C9) being the pivotal driver. Pressure resilience was predominantly influenced by the proximity to active faults (C2) and population exposure to geological hazards (C6), whereas response resilience relied on disaster-monitoring equipment (C26) and early warning efficiency (C27). (3) A synergistic optimization strategy was proposed, emphasizing risk zoning and engineering controls (pressure layer), housing retrofitting and social capital cultivation (state layer), and intelligent early warning systems integrated with indigenous knowledge (response layer). The study validates the applicability of the PSR model in mountainous rural contexts, highlighting a "state resilience dominance with response capacity gaps" pattern. Notably, communities with higher state resilience demonstrate stronger recovery capabilities despite elevated hazard pressures, underscoring the importance of robust infrastructure and social cohesion. Conversely, insufficient investment in monitoring technologies and external rescue coordination hinders response effectiveness in remote villages such as Caogu. The framework provides methodological support for tailored disaster-prevention planning, particularly in ethnic regions where traditional ecological knowledge complements modern governance. However, limitations include a focus on earthquakes and geological hazards, excluding concurrent multi-hazard scenarios (e.g., wildfires and pandemics), and a static assessment that overlooks temporal resilience dynamics. Future research should incorporate longitudinal monitoring and cross-scale interactions to refine the generalizability of the model. This study advances the theoretical integration of socioecological systems into resilience assessments and offers actionable insights for sustainable rural development in hazard-prone mountainous areas.

随着气候变化加剧,乡村社区不断面临着偶然性、突发性的自然灾害以及新冠疫情等重大危机事件的冲击,尤其是中国偏远山区的乡村是防灾减灾救灾最薄弱的环节。中国是典型的山地国家,山区面积约占国土面积的2/3并居住着大约3.3亿的常住居民,同时也是大部分少数民族的聚居地(李楠,2011)。位于亚热带季风气候区的安宁河流域,地质构造和地貌环境复杂,新构造运动显著,断层、褶皱发育,主要分布有安宁河—则木河断裂、西昌断裂,以及大德里向斜等大型褶皱(杜宇琛 等,2022),区域内滑坡、崩塌、泥石流等自然灾害频发,对乡村振兴以及可持续发展造成阻碍,部分乡村甚至面临因灾返贫、因灾致贫的风险。如何准确评估山地乡村社区韧性及提高防御和适应能力是乡村安全和可持续发展的基本保障问题(高禄 等,2024)。
国内外对韧性理论的研究最初聚焦于城市韧性,乡村韧性研究起步较晚,近年来才逐渐得到关注(刘梦颖 等,2025)。当前乡村韧性评价主要涉及经济、社会、生态、制度和文化等多维度的测度(Wilson et al., 2018),关注点集中在乡村抵御风险的能力、适应性与治理水平的提高。在具体指标体系构建上,国外学者Cutter等(2016)采用社区韧性基线指标模型(BRIC),对城乡社区灾害韧性差异进行研究;Cox & Hamlen(2015)提出乡村韧性指数(RRI),评估临近城镇的乡村社区抗灾能力。国内学者中,Yu等(2023)结合乡村振兴战略,从生产、生态、社会、制度、经济5个维度构建综合韧性指标体系,以应对疫情冲击;Wang等(2023)进一步补充了文化与治理维度;Fan等(2021)则聚焦经济、生态、社会维度,提出生态格局重构和乡村主体培育策略。此外,高钰桔等(2023)针对元阳哈尼梯田乡村遗产地构建指标体系,开展聚落韧性评估,体现了地域针对性。在理论框架方面,买欣等(2023)提出了实证主义范式和人本主义范式的双重研究路径,分别强调客观量化和主观感知的测度方法;贾垚焱等(2022)基于“吸收—适应—转型”框架,开展旅游地乡村聚落韧性研究;陈驰等(2023)基于“抵抗—恢复—适应”模型评估突发公共卫生事件的韧性;资明贵等(2022)构建风险—韧性(R-PAT)模型,分析不同乡村地域系统韧性水平;李东麟等(2022)李玉恒等(2021)以及文海家等(2024)基于“压力—状态—响应”(PSR)模型,开展乡村经济和灾害韧性研究(Wen et al., 2024);朱晏君等(2022)田兵伟等(2023)则采用DPSIR模型分别构建县域乡村社会—生态系统韧性和乡村旅游社区韧性评价体系。
尽管上述研究成果丰富,但多数研究局限于单一灾害类型,尚未从动态视角全面刻画灾害全周期的扰动及系统响应,缺乏系统性和综合性分析(崔鹏 等,2018)。因此,本研究在已有研究基础上,尝试以PSR模型为框架,构建包含3个维度、9个要素、32个三级指标的山地乡村社区灾害韧性评价体系,全面评估其韧性水平,并提出针对性提升策略。以期为乡村社区防灾减灾规划提供参考借鉴。

1 研究区概况与数据

1.1 研究区概况

凉山州安宁河流域是金沙江二级支流、雅砻江一级支流,位于四川省西南部、攀西地区中部,地处青藏高原横断山脉东缘;源于冕宁县彝海镇,汇于盐边县桐子林镇,干流全长328 km,流域面积11 066 km2,共有18条大小支流。该流域地质构造复杂,地震活动频繁,地质灾害多发,尤其是滑坡和泥石流(朱圣钟,2005)。参考《安宁河流域国土空间规划(2022—2035年)》(四川省人民政府,2024),将研究范围确定为安宁河干流及主要支流流经的且密切相关的4个县(市、区),即:凉山彝族自治州的冕宁县、喜德县、西昌市、德昌县,总面积约11 795.9 km2,含57个乡镇,10个街道办事处,409个行政村,乡村沿安宁河河谷区分布最密集。由于研究区域乡村社区数量庞大,为保证样本的代表性和研究可行性,依据以下标准选择案例社区:①灾害类型代表性,所选社区需存在地震或地质灾害风险;②灾害发生历史,近5年内是否发生过较大自然灾害(如死亡人数≥10人);③防灾能力差异,是否为防灾减灾示范社区(反映政策支持差异);④地理分布多样性:覆盖河谷区、半山区等不同地形单元。最终选取安哈镇牛郎村、红莫镇桃源村、彝海镇曹古村、乐跃镇群英村4个乡村社区作为灾害韧性评价对象(表1图1)。通过实地调研和分层抽样法,结合问卷调查与GIS空间分析,获取社区基础数据。尽管样本量有限,但所选社区在灾害类型、防灾措施及地理分布上具有典型性,能为后续研究提供普适性参考框架。
表1 典型乡村社区基本情况

Table 1 Basic situation of typical rural communities

名称

典型

灾害

近5年是否发生自然

灾害以及死亡人数

是否为防灾减灾示范社区 辖区面积/km2
桃源村

地震、

泥石流

3.88
曹古村 是(16人死亡) 30.66
牛郎村 是(无) 10.28
群英村 是(无) 11.85
图1 4个典型乡村社区地理位置

Fig.1 Geographical location of 4 typical rural communities

1.2 数据来源

本研究数据通过实地调研、调查问卷和各类公开网站获取,具体见表2
表2 数据来源

Table 2 Detailed data sources

数据 来源

地震动峰值

加速度

《中国地震动参数区划图》GB18306-2015(中华人民共和国国家质量监督检验检疫总局 等,2015)

单侧距活动

断层的距离

中国地震局地质研究所:《中国活动构造图(1∶400万)》

坡度>20%

的村域面积

NASA地球科学数据网站(https://nasadaacs.eos.nasa.gov/)

月平均

降雨量

国家青藏高原科学数据中心(彭守璋,2020);中国

1 km分辨率逐月降水量数据集(1901—2021);时空

三极环境大数据平台. DOI:10.5281/zenodo.3185722

NDVI植被

指数

地理遥感生态网科学数据注册与出版系统

(www.gisrs.cn)

村域平均

海拔

NASA地球科学数据网站

(https://nasadaacs.eos.nasa.gov/)

村域路网

密度

Open Street Map开源数据库

(https://www.openstreetmap.org/)

2 构建指标体系

2.1 构建基于乡村社区灾害韧性认知框架

PSR(压力―状态―响应)模型最早由David J Rapport和Tony Friend于1979年提出,后来,经济合作与发展组织(OECD)和联合国环境规划署(UNEP)对其进行发展,是目前应用最广泛的评估指标体系之一。PSR模型是一个系统描述和分析系统之间相互作用的因果框架,融合了动态因果反馈系统理论,认为压力是状态变化的根本原因,状态是响应制定的基础,而响应是改善压力和促进状态变化的重要途径(图2)。乡村社区韧性的概念内涵指乡村地域系统在受到内外部逆变环境的影响下,不断吸收、适应、恢复、学习、转型或更新,其本身是描述乡村社区在应对冲击时的动态演变过程,而“压力-状态-响应”模型的3个维度正好与韧性作用过程相对应,与韧性的作用机制有较强的相通性,因此本研究聚焦凉山州安宁河流域山地乡村社区(以行政村为研究对象),基于PSR模型,构建了适用于乡村社区系统的PSR模型与乡村人居环境系统相融合的乡村社区灾害韧性的认知框架(图3)。该框架将乡村人居环境系统作为PSR模型的“状态”层即空间物质与社会载体;乡村灾害韧性的特征与优势作为“状态”层的目标导向(Boston et al., 2024),并结合防灾减灾各阶段中的韧性作用机制与韧性演进过程,其中社区韧性的冗余性、稳健性、协作性、适应性与扰动前的“压力”阶段、扰动中的“状态阶段”,以及扰动后的“响应阶段”相对应(表3)。需要说明的是,对应通常不是单向的,每个韧性阶段会包含多种韧性特征。
图2 PSR模型中“压力―状态―响应”三者关系

Fig.2 The relationship of "pressure-state-response" in PSR model

图3 基于PSR模型的乡村社区灾害韧性认知框架

Fig.3 Disaster resilience cognitive framework of rural communities based on PSR mode

表3 “压力―状态―响应”各维度对应的韧性特征

Table 3 Toughness characteristics correspond to each dimension of "pressure-state-response"

韧性过程维度 作用主体 主要特性
压力 外界的各种冲击扰动 ①不确定性(Uncertainty)
状态

乡村人居环境各系统的

耦合作用

①稳健性(Robustness)

②冗余性(Redundancy)

响应

外部:政府;社会组织

内部:家庭;个人;基础

组织

①灵活性(Redundancy)

②适应性(Adaptive)

③协作性(Collaborative)

2.2 构建评价层次结构

基于图3构建乡村社区灾害韧性认知框架,包含目标层、准则层、要素层、指标层在内的4级指标结构体系,形成针对地震、地质灾害的乡村社区灾害韧性评价体系(图4)。
图4 乡村社区灾害韧性评价体系层次结构

Fig.4 Hierarchical structure of disaster resilience evaluation system in rural communities

2.3 选取指标

本研究指标体系的选取过程以理论支撑与实证验证为基础,遵循导向性、全面性与可行性原则,逐级构建了目标层、准则层、要素层和指标层四级结构,力求充分体现山地乡村社区灾害韧性的特征与现实需求。
在准则层的选取上,准则层依据PSR(压力―状态―响应)模型的理论基础,设定为“压力韧性”“状态韧性”和“响应韧性”3个维度。其中,“压力韧性”主要评估灾害风险强度与社区面临的外部威胁;“状态韧性”衡量社区自身环境的稳定性、冗余性及承灾能力;“响应韧性”体现社区在灾害冲击后的预警、应急管理与恢复能力(Cutter et al., 2008崔鹏 等,2018)。要素层的构建依据凉山州安宁河流域山地乡村社区的自然地理环境特征与灾害风险现状,具体划分为地震灾害、地质灾害、自然系统、居住系统、人类系统、社会系统、支撑系统、预警能力和救援、恢复能力共9个要素。这些要素全面涵盖了乡村社区从灾害发生前、中到后的全阶段表现,系统地反映乡村社区在灾害韧性上的差异性特征与内部机理(崔鹏 等,2018文海家 等,2024)。在上述要素明确的基础上,指标体系构建参考了国际上广泛使用的社区韧性基线指标模型(BRIC)(Cutter et al., 2008; 2016)、乡村韧性指数模型(RRI)(Cox & Hamlen, 2015)以及国内已有的乡村韧性评价指标体系(Fan et al., 2021; Wang et al., 2023; Yu et al., 2023)。
在文献分析过程中,发现当前灾害韧性指标体系多偏重于工程性、物质性指标,如建筑质量与基础设施建设等,而社会资本、传统知识等社会性指标的关注不足(高钰桔 等,2023买欣 等,2023)。为体现乡村社区的地方性特色,本研究特意纳入社会资本和传统知识相关指标。如参考陈怀宇等(2023)关于社会资本对防洪救灾互助作用的研究,选取了村民日常来往人数、村规民约实施情况、村民互助意愿等指标,以表征社区内社会网络规模与村民之间的信任关系。此外,传统知识的防灾减灾价值在西南民族地区已被广泛证实(贾垚焱 等,2022),因此纳入“传统防灾知识的挖掘与使用情况”指标,以更好地体现本地乡村社区灾害韧性指标体系的特色性和适用性。此外,由于乡村社区在空间布局、基础设施建设与公共服务配套等方面与城市社区差异显著,城市社区常用的容积率、人口密度和人均医疗资源指标并不适用于乡村社区(刘梦颖 等,2025)。乡村社区医疗卫生服务设施匮乏、服务能力有限,社区防灾减灾与外部支持密切相关,故本研究选择“道路对外连通性”“所属县域应急救援队伍数量”等反映外部救援力量的指标,以更好地体现乡村社区灾害韧性的实际需求(资明贵 等,2022朱晏君 等,2022)。
通过理论分析和预调研验证,本研究最终建立了一个涵盖3个维度、9个要素、32个具体指标的山地乡村社区灾害韧性评价指标体系(表4)(Wilson, 2014; Kelly et al., 2015雷晓康 等,2020Yang et al., 2020邱明丽 等,2021王量量 等,2022李东泉 等,2023;Wu & Chen, 2023)。该体系立足于乡村特色,兼顾实用性与可操作性,更为科学地评价山地乡村社区的灾害韧性水平。
表4 山地乡村社区灾害韧性评价指标体系

Table 4 Disaster resilience evaluation index system of mountainous rural communities

目标层L 准则层A 组合权重 要素层B 组合权重 指标层C 组合权重 属性

山地

乡村

社区

灾害

韧性

A1

灾害

压力

韧性

0.253 1

B1

地震

0.132 5 C1 地震动峰值加速度 0.058 8 负向
C2 单侧距活动断层的距离 0.073 7 负向

B2

地质灾害

0.120 6 C3 坡度大于20%的村域面积 0.019 9 负向
C4 地形起伏度 0.018 9 负向
C5 雨季(6—9)月平均降雨量 0.029 0 负向
C6 地质灾害隐患点威胁人数 0.052 7 负向

A2

灾害

状态

韧性

0.514 3

B3

自然系统

0.039 6 C7 NDVI植被覆盖指数 0.027 8 正向
C8 村域平均海拔高度 0.011 8 负向

B4

居住系统

0.153 9 C9 村民住宅建筑质量 0.078 5 正向
C10 人均应急避难场所面积 0.028 3 正向
C11 应急标识导向系统建设情况 0.024 8 正向
C12 村卫生院数量 0.022 2 正向

B5

社会系统

0.116 7 C13 减灾宣传教育和疏散演练活动情况 0.032 6 正向
C14 个人日常来往的村民数量 0.016 7 正向
C15 村规民约的编制及实施情况 0.011 5 正向
C16 传统防灾知识挖掘与使用情况 0.028 3 正向
C17 灾害管理制度编制情况 0.027 8 正向

B6

人类系统

0.085 8 C18 60岁以上、14岁以下人口占总人口的比重 0.016 8 负向
C19 村民家庭年收入 0.019 0 正向
C20 村民对灾害风险的认知情况 0.023 8 正向
C21 村民对社区防灾空间及设施了解情况 0.026 2 正向

B7

支撑系统

0.118 2 C22 村域路网密度 0.030 7 正向
C23 供水设施建设情况 0.019 8 正向
C24 供电设施建设情况 0.017 0 正向
C25 通信基础设施情况 0.050 7 正向

A3

灾害

响应

韧性

0.232 6

B8

预警能力

0.115 5 C26 灾害监测设备和技术配置情况 0.060 0 正向
C27 灾害预警信息发布渠道 0.055 5 正向
C28 所属县域应急救援队伍数量 0.024 6 正向
C29 村内应急物资储备情况 0.033 8 正向

B9

救援、

恢复能力

0.117 1 C30 道路对外连通性 0.013 5 正向
C31 自备防灾救援组织数量 0.024 0 正向
C32 村民帮助他人的意愿 0.021 2 正向

2.4 确定权重

为使指标权重获取更具科学性,采用熵值法(田健 等,2022祝文婷 等,2023)与AHP层次分析法(刘泽照 等,2021郭佳 等,2023)共同确定指标权重,将主观赋权与客观赋权相结合(李亚 等,2017),进一步提升指标权重的可行性。本研究邀请了防灾减灾、社区韧性研究领域的专家4名以及城乡规划研究领域的专家4名,进行主观赋权。先构建基于专家判断的指标判断矩阵,再通过方根法求解特征向量并归一化计算权重向量,同时进行一致性检验以确保判断矩阵的逻辑性。最终结合熵值法与AHP法的权重结果,通过耦合方法获得主客观相结合的综合权重。公式为:
W j = α W j 1 + 1 - α W j 2  
式中: W j为综合权重; W j 1为AHP权重求解; W j 2为熵值法权重; α为AHP主观权重; 1 - α为熵值客观权重。为保证组合权重 W j与AHP主观权重 W j 1、熵值客观权重 W j 2偏差平方和最小,经过推导,当 α=0.5时,获得最优组合权重:
W j = 0.5 W j 1 + 0.5 W j 2
通过调整主观权重系数 α(0.3~0.7)进行敏感性分析,结果显示各指标权重波动较小(变异系数<5%),且不同权重组合情景下评价结果排序基本一致,表明该组合赋权方法稳健可靠。

3 韧性评价结果

3.1 综合韧性结果对比

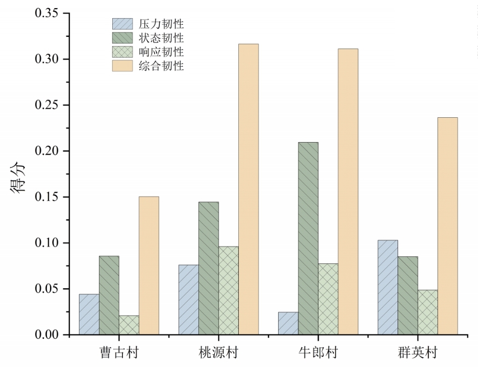
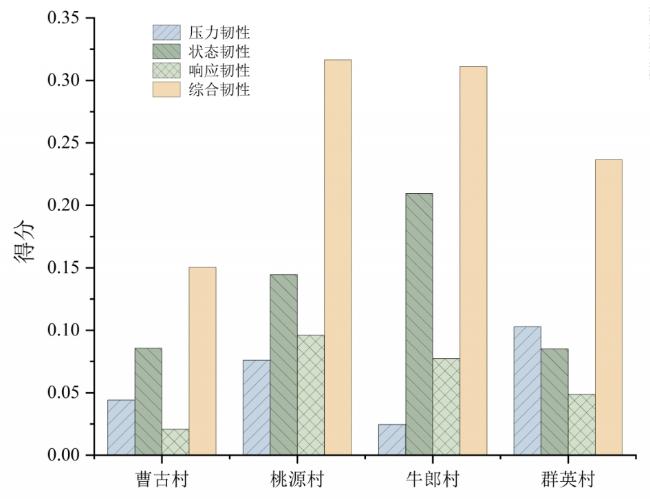
对灾害标准化指标进行加权平均计算,得出4个乡村社区灾害韧性各要素层得分以及综合评分(表5图5),可见,4个社区韧性综合得分排序为:桃源村>牛郎村>群英村>曹古村。具体地:
表5 典型乡村社区各要素层韧性水平得分

Table 5 Resilience level scores of each element layer in typical rural communities

要素层 曹古村 桃源村 牛郎村 群英村
B1地震灾害 0.014 7 0.041 2 0.002 2 0.074 4
B2地质灾害 0.014 2 0.034 7 0.022 3 0.028 4
B3自然系统 0.013 6 0.002 7 0.006 0 0.017 4
B4居住系统 0.012 4 0.050 6 0.072 5 0.008 5
B5社会系统 0.027 5 0.058 2 0.023 3 0.007 8
B6人类系统 0.026 5 0.017 7 0.020 2 0.021 4
B7支撑系统 0.005 6 0.015 3 0.067 4 0.030 0
B8预警能力 0.010 0 0.047 8 0.033 9 0.033 9
B9救援、恢复能力 0.010 8 0.048 2 0.043 4 0.014 8
图5 典型乡村社区韧性水平得分统计

Fig.5 Typical rural community resilience score statistics

1)桃源村在社会系统、响应系统上表现出较高的韧性,这与2021年前后该社区进行全国防灾减灾示范社区建设联系密切,桃源村的应急避难场所建设、应急疏散演练活动以及村民的防灾意识等要素表现突出;同时桃源村构建了完整防灾减灾工作体系,并组建了包括村组干部、网格员和党员、志愿者等在内的应急抢险队伍,并在桃源村村委会设置了专门的应急物资储备库,由专人进行动态清理与补给;其中得分末尾3位的分别是自然系统、人类系统以及支撑系统。桃源村植被覆盖指数较小,且村域平均海拔较高,人口老龄化问题突出,作为承灾体的居民自身抗冲击能力弱、脆弱性高,在灾后难以实现自我恢复,对外部支援和帮助的依赖性高。2)曹古村韧性水平最低,该村地理位置偏远,经济发展落后,社区自身抵御冲击的能力有限,各项基础设施配置不完善,其得分末尾3位的分别是支撑系统、预警能力和救援、恢复能力,可见曹古村的“响应韧性”表现不佳,其灾后救援、恢复能力较弱;但曹古村人类系统的韧性水平却在4个社区中得分最高,这与2020年该村经历过大型泥石流灾害有关,灾后村民对风险的认知、防灾意识得到加强,对乡村避难场所的位置比较熟悉;同时曹古村受城镇化影响相对较小,社区仍以血缘和地缘关系为主导,村民之间来往比较密切,互帮互助的意愿较强,因此社会层面的韧性水平较高。3)牛郎村在压力系统韧性得分最低的情况下,综合韧性评价得分仍能排在第二位,这与牛郎村自身的基础条件密不可分,受西昌市辐射带动作用以及自身经济发展优势,该村在支撑系统、居住系统表现出较高的韧性,其基础设施建设、住房建筑质量整体上都优于其他社区;其得分末尾3位的分别是地震灾害、自然系统、人类系统,牛郎村位于9度地震烈度区,地震风险较大;但由于该村未发生过较为严重的灾害,因此在调研过程中发现村民的防灾意识较弱、对村内避难场所、灾害点等不熟悉,导致人类系统得分较低。4)群英村各子系统的防灾减灾能力整体表现较为均衡,其中居住系统、社会系统及救援与恢复能力得分偏低。具体而言,群英村整体应急物资储备不足,第2、3组的村民所处区域地质灾害隐患点较为密集,但针对该区域村民的应急救援与疏散演练却较少开展。虽然村内其他区域灾害风险相对较小,但整体防灾设施建设尚未受到足够重视,村民对于防灾空间和避险设施的认知程度也较为有限。

3.2 压力―状态―响应韧性结果对比

在4个乡村社区中,牛郎村和曹古村的压力韧性水平较低;其中曹古村虽只有2处灾害隐患点,但都呈现威胁范围广、威胁人口多、灾害强度大的特征,导致该区域压力韧性水平低;牛郎村低压力韧性水平主要受地震动峰值加速度以及单侧距活动断层距离的影响,牛郎村位于9度地震烈度区,地震动加速度0.4 g,离安宁河断裂带距离较近,且这2个指标权重较高;同时,牛郎村的地灾隐患点数量较多,威胁人数约440人。而相比之下,桃源村和群英村灾害“压力”较小。
状态韧性水平中的数值越高,代表社区作为“承灾体”的稳健性、冗余性越强,社区脆弱性越低。在这一层,牛郎村作为凉山州州府西昌市下属的行政村,在经济中心的辐射带动下,产业类型更丰富、经济发展水平更好、村内各项基础设施配置较其他社区更为完善,青壮年返乡创业势头较好,使牛郎村“空心化”“老龄化”问题不显著,在“状态层”表现出较高的韧性;桃源村虽然身处群山之间,地理位置偏远,但在全国防灾减灾示范社区创建过程中,得到了上级政府更多的政策支持和帮助,使桃源村在居住系统、社会系统表现出较高的韧性;但其中人类系统韧性水平较低,主要是青壮年人口流失严重、人口老龄化问题突出;曹古村在状态层表现不佳,该村平均海拔高,地形起伏大,基础设施和防灾设施配置较差,使其作为“承灾体”有着较高的脆弱性,在面临灾害时十分被动,恢复能力和适应能力都有待提高。
桃源村在应急物资储备、防灾救援组织建设2方面表现尤为突出,桃源村村委会有专门的应急物资储物室,储备了各类应急物资物品,并且有工作人员进行动态更新、补给;同时,桃源村已构建了“领导小组—防灾网格员—救援志愿者队伍”应急体系,在灾害发生后能将责任细分到每位责任人身上。牛郎村在县属应急救援队伍方面具有显著优势,西昌市的应急救援队伍相较于其他县域而言,数量多且类型多样,牛郎村离西昌市城区驾车约40 min,交通便利,若发生灾害,应急救援力量可较快速到达现场,外部救援力量支持显著优于其他3个社区。

4 山地乡村社区灾害韧性评价影响因素分析

从指标权重(见表4)可以看出,对于乡村社区灾害韧性而言,“状态韧性”即“承灾体”“孕灾环境”对于韧性水平的影响最显著,对韧性社区建设而言最重要,具备稳健性和冗余性的社区系统对于社区韧性尤为重要。分解到具体指标,在状态韧性中,居住系统的权重最高,说明村民的住宅建筑质量在社区灾害韧性中尤为重要;此外,压力韧性中的C2单侧距活动断层的距离与响应韧性中的C26灾害监测设备和技术配置情况所占权重值分别为第二、第三,说明地震灾害的危险性和灾害的监测预警水平对于山地乡村社区灾害韧性水平影响较大。
乡村社区在运行与发展过程中,难免会面临各类冲击和压力,在已有研究中(Wilson et al., 2018陈驰 等,2023),通常将这些压力冲击分为2类,一类是急性(突发性)冲击,如突发性的自然灾害;另一类是慢性胁迫,如生态破坏、老龄化、乡村发展收缩等。本研究主要探讨自然灾害所带来的急性冲击与压力(崔鹏 等,2018)。由于地理条件、防灾设施、居民等原因,乡村社区在自然灾害(如地质灾害)中的死亡人数和财产损失可能更大。在“压力韧性”维度,各类压力指向地震、泥石流、滑坡等“致灾因子”,C1地震峰值加速度、C2单侧据活动断层的距离、C6地质灾害隐患点威胁人数所占权重值为“压力韧性前三名,说明其是影响“压力韧性”的重要因素。
乡村社区的状态即乡村社区自然系统、居住系统、人类系统、社会系统、支撑系统等各子系统所呈现的共同抵御灾害冲击的系统稳健性与冗余度,即本研究将乡村人居环境系统作为“状态”层的主体,各个子系统的承灾状态耦合作用于“状态韧性”。“状态韧性”维度的权重占比最大的是居住系统,而居住系统中C9村民住宅建筑质量权重占比最高,说明良好的住宅建筑质量对于稳健的状态韧性尤为重要。除外,C25通信基础设施情况、C13减灾宣传教育和疏散演练活动情况权重占比为“状态韧性”的第二、三名,说明基础设施的完善和防灾减灾能力的提升对于社区灾害韧性的“状态韧性”具有重要的影响力。
响应韧性反映乡村社区在遭受灾害扰动后,政府、社会力量以及社区居民等多元主体共同开展预警响应、灾后恢复以及经验学习与适应调整的能力。在“响应韧性”维度,权重占比前二的C26灾害监测设备和技术配置情况与C27灾害预警信息发布渠道,说明灾害监测水平的提高和灾害预警信息的及时发布对于“响应韧性”的提升起至关重要的作用。
定性分析发现,各子指标不仅直接影响社区的灾害韧性,还通过相互作用形成复杂的因果关系。如C20村民对灾害风险的认知情况不仅影响其自身的防灾行为,还通过C14个人日常来往的村民数量影响整个社区的防灾意识和行为,从而间接影响社区的灾害韧性。以曹古村为例,结合问卷调研阐释指标内在联系:曹古村B6人类系统得分高(0.026 5),但B9(救援能力)得分低(0.010 8),矛盾源于2020年泥石流后村民意识提升(问卷调研中78%受访者能描述避灾路线),但基础设施滞后限制响应效率(仅1条对外道路常因滑坡中断)。这表明单一维度的韧性提升(如意识教育),若缺乏系统支撑(如道路连通性),难以转化为整体韧性,需多维联动干预。因此,未来的防灾减灾策略应注重关键指标的提升,并通过综合措施增强社区的灾害韧性。

5 韧性视角下山地乡村社区防灾减灾规划策略

5.1 乡村社区防灾减灾规划路径探究

在国土空间规划体系重构的背景下,乡村空间的规划管理提升到“全域管控”和“多规合一”的高度(陈前虎 等,2023),乡村地区成为新型国土空间全域规划体系的关注焦点,现有的村级规划编制仍在探索阶段,村级防灾减灾规划需参照相应的规划编制指南,并结合村庄系统的差异性特征。基于灾害韧性的评价结果,遵循因地制宜和因灾施策、人民至上和公众参与、平灾结合和资源优化以及智慧防灾和信息共享4个原则,分别从“压力层”“状态层”“响应层”3部分入手,为凉山州安宁河流域山地乡村社区防灾减灾提出规划策略,构建规划路径(图6)。
图6 山地乡村社区防灾减灾规划路径

Fig.6 Disaster prevention and mitigation planning paths for mountainous rural communities

5.2 乡村社区防灾减灾规划要点解析

5.2.1 压力层—防御和治理,降低致灾因子危险性

在灾害压力方面,首先需要科学评估灾害风险,准确识别风险特征并划定灾害风险区域,才能更有针对性地提出有效的防灾减灾规划与应对策略(周国贤,2023)。山地乡村社区面临的灾害以地震、泥石流、滑坡等地质灾害为主,通过聘请相关领域专家和技术人员开展指导,综合运用GIS空间分析技术与现场调查,可以系统全面地评估主要灾害类型的风险分布,明确灾害风险较高的区域范围。在此基础上,划定灾害风险区域,为乡村社区的生产生活场所选址、防灾设施布置、灾害应急管理及后续规划策略制定提供科学支撑和决策依据。同时,也要实施灾害防治工程,提升灾害治理能力,如泥石流的地貌一般可分为形成区、流通区和堆积区3部分,针对泥石流的防治工程主要从上游物源区、中游流通区、下游堆积区进行联合治理(尚科科 等,2017张荐铭 等,2020赵屹峰 等,2024)。

5.2.2 状态层—强韧与适应,降低孕灾环境和承灾体的脆弱性

“状态层”的规划重点主要包括空间规划和乡村治理2部分。其中,空间规划主要从要素配置与要素布局2个维度展开,要素配置主要是在数量和质量层面,如应急物资储备、应急保障设施建设等;要素布局主要是在空间位置层面,以规划空间要素作为分析对象,聚焦空间要素与灾害韧性的关系,从生态空间、住房建筑空间、应急避难空间、应急疏散空间、防灾分区规划等多角度进行防灾空间规划;乡村治理主要聚焦主体灾害风险意识、多元主体协同共治以及灾害管理制度的编制(李明 等,2023)。鉴于乡村社区人力、技术和知识储备有限,政府应发挥桥梁和纽带作用,搭建乡村社区与社会力量之间的合作平台,引导企业、高校、非政府组织等多元主体参与乡村防灾减灾能力建设,形成协同治理格局。

5.2.3 响应层—效率与学习,提高应急响应能力

灾害响应方面,首先要提升灾害监测预警能力,加强防灾减灾科技支撑的力量。自然灾害的监测预警能力在防灾减灾中占据举足轻重的地位,在农村地区,建立灾害预警监测能力的核心是实现预警信息能深入传递到每个家庭,这要求不仅要强化由灾害监测员、气象信息员和群测群防员组成的防灾工作队伍,还需采用贴近民众的方式,确保预警信息能在边远山区和交通不便的村落中有效传达,进一步加强灾害信息报送与灾害预警信息“最后一公里”的传递发布。一方面,可充分发挥新闻媒体、有线和无线通信以及社交平台等的作用,另一方面可在村庄加强“大喇叭”“广播”等设施的建设,使预警信息快速高效无误送达。
同时也要提升灾害经验学习反思能力,加强系统的自适应能力。在抗击各种自然灾害的实践中,社区要持续总结经验教训,明确责任分工,完善相关体系,整合各类资源,统筹各方力量,致力于提升全民抗御自然灾害的综合能力。除了从自身以及别人的防救灾经验中汲取教训、积累经验,还可立足于凉山州的区位特征和民族特色,在行动取向上,可深入剖析各民族的传统生计范式,挖掘其中蕴藏的生态维护策略和防灾减灾智慧(邵侃,2022),如识别并规避生态脆弱环节、缓解风险灾变,以及采取补救手段应对资源缺环等,并将其纳入新型的灾害治理体系。

5.3 典型乡村社区规划策略——以桃源村、曹古村为例

5.3.1 基于韧性评价结果,划定灾害风险区域

桃源村所处的热水河流域断裂发育、沟渠众多、地势总体较陡、植被覆盖度高;干湿季分明,降雨丰沛集中,为诱发泥石流等灾害提供了有利条件。由于桃源村面积较小,首先从热水河流域大的范围背景分析地质构造、坡度等与灾害密切相关的要素,对流域进行灾害风险评估。桃源村河坝区域属于热水河流域灾害高危险区,同时河坝区也是人口集中区。当前,桃源村的灾害隐患点共有2个,一是位于热水河左岸的鸦鹊铺子泥石流,居民点主要分布在泥石流堆积区的半山坡上;二是热水河右岸的庄家碾子山洪泥石流,村委会及周边居民住宅因临近河道,处于夏季泛滥影响范围内。两处隐患点共威胁290名居民的生命安全。根据隐患点分布特征及受威胁人口情况,建议划定相应的灾害风险区域(图7-a)。
图7 泥石流灾害风险区与居民建筑分布关系(a. 桃源村;b. 曹古村)

Fig.7 Relationship between debris flow hazard areas and residential buildings distribution (a. Taoyuan Village; b. Caogu Village)

曹古村平坝区现有2处灾害隐患点,分别是瓦子沙滑坡泥石流隐患点和曹古河山洪泥石流隐患点,平坝区大多数村民都处于泥石流灾害风险区,泥石流灾害对该区域村民及住房的影响较大(图7-b);由于曹古村三面环山,地处半山区或高寒山区,居住条件恶劣、交通不便,村里人口分布最密集的区域是曹古河沿岸,这是一处山间冲积扇,地势平坦,水源充足,但也是山洪泥石流的主要威胁区。

5.3.2 科学划定防灾分区,提高防灾管理效能

综合考虑2个社区的道路、河流、居民聚居点分布、灾害危险区等,将桃源村划分为4个防灾分区(图8),而曹古村平坝区作为一个完整的防灾区。
图8 桃源村防灾分区

Fig.8 Disaster prevention zone of the Taoyuan village

桃源村:A1分区防灾减灾规划的重点包括3部分:1)构建森林生态屏障,增强植被覆盖,发挥植被作为调控泥石流关键因子作用。2)鸦鹊铺子泥石流的治理,采用“生态+工程”的施开展泥石流防治工程。3)被威胁区居民点的管理,可从加固住房建筑、布设灾害监测预警设备、加强灾害风险宣传教育等措施入手。A2分区是桃源村人口密度、建筑密度最高的区域,村民住宅建筑在该区域呈现密度高、质量差异大特征,是桃源村地质灾害背景下的主要“承灾体”,该区域防灾减灾规划的重点包括2部分:1)危房、旧房改造、提升建筑抗震性能,增强居住系统的稳健性;2)应急避难疏散空间优化,包括应急避难场所、应急疏散通道;A3区主要是热水河山洪泥石流治理防控区,其防灾减灾规划着重于河流堤坝的生态化改造,以及被威胁居民点的管理,主要措施包括鼓励对现有建筑实施结构加固、抬升建筑高度、加固建筑外墙,并改善建筑防潮防水性能,降低洪水与泥石流带来的损失。A4区位于东北方向,地势较高,是桃源村第二个人口建筑密集区,该区域的房屋建筑质量差异较大,中间还有一些无人居住的危房,其防灾减灾的重点与A2区相同。
曹古村:由于曹古村村域面积大,仅选取灾害风险最高的平坝区作为规划对象,该区域面积适中,且人口、住宅都集中分布在村主干道的两侧,因此把该区域当作一个完整的防灾区域(图9)。其防灾减灾规划的重点包括3点:1)是住房安全与抗灾性能提升,开展主干道两侧房屋的结构安全排查,实施危旧房改造和建筑抗震加固工程,增强居住建筑的稳健性和抗灾性能,降低灾害发生时的破坏程度;2)是应急避难与道路通达性保障,优化应急避难空间布局,设置安全可靠、位置合理的集中避难场所,整治和拓宽应急疏散通道;加强主干道及对外连接道路的基础设施建设,确保灾害发生时人员快速安全疏散和救援物资及时进入;3)是灾害监测预警与风险教育提升,完善区域内灾害监测设备布设和预警信息发布机制,确保灾害风险预警及时、有效传达至居民;结合当地居民文化特点开展防灾减灾宣传与应急疏散演练活动,提升居民灾害风险认知与应急处置能力。
图9 曹古村泥石流重点防治区

Fig.9 Caogu village key control area of debris flow

5.3.3 优化应急避难场所布局,提升设施配置与安置能力

桃源村现有临时避难场所5个,固定避难场所2个,避难场所主要分布在A2区,该区域的人口与建筑密度最高,其避难场所能基本满足群众的避难需求;
在空间布局上,拟在鸦鹊铺子居民点以及A4区北部居民点规划新增避难场所;在避难场所设计和配置上,由于村内避难场所以中小学校、幼儿园、村委会广场为主,只是为避难提供了一个开敞空间,基本不满足避难场所的设计和配置要求,需对其进行设计优化,加强配套设施建设。曹古村平坝区现有紧急避难场所1个、固定避难场所1个,由于该区域人口分布最为集中,现有的避难场所容纳能力远不能满足村民的避灾需求,拟在曹古村委会应急避难场所的后侧规划新增一个固定避难场所,此处离曹古河较远,不会受到山洪泥石流的威胁;同时,对现有的避难场所进行配套设施的布局配置优化,提高曹古村避难场所的避难安置能力。

5.3.4 融合地方民族文化特色,加强应急科普教育活动

桃源村和曹古村内居住着大量以彝语作为日常交流语言的彝族人口,在应急情况下,常规的汉语标识牌无法有效发挥作用。建议结合当地人居环境特征和彝族居民的语言文化习惯,设计融入彝族文化元素和彝文表达的应急标识牌。这一举措将有助于提升村民对应急信息的理解能力,确保灾害发生时能够快速识别风险并采取应对措施,从而增强乡村社区的整体防灾减灾能力。由韧性评价结果可知,曹古村响应韧性明显低于其他乡村社区,曹古村应尽快组建起当地的应急救援队伍,提高灾前预警水平;定期开展应急演练与科普教育活动,熟悉应急避险流程,保证灾害来临时,当地村民们可以迅速响应。

6 结论

本文以凉山州安宁河流域典型山地乡村社区为研究区域,结合PSR(压力—状态—响应)模型与人居环境系统理论,构建了包含压力韧性、状态韧性、响应韧性3个维度、9个要素、32个具体指标的乡村社区灾害韧性评价体系。采用熵值法与层次分析法(AHP)确定各指标权重,并进行了典型村落的灾害韧性综合评估。本文得出的主要结论为:
1)4个典型山地乡村社区,韧性综合得分排序为:桃源村>牛郎村>群英村>曹古村,其中桃源村韧性水平最高、曹古村韧性水平最低。主要原因是桃源村在进行全国防灾减灾示范社区建设过程中,各项灾害管理制度、村民防灾意识、自救互救能力等要素的韧性水平都得到提升;而曹古村由于地理位置偏远,经济发展落后,村中青壮年人口流失严重,人口面对灾害的脆弱性程度高,灾害韧性水平较低,各类基础设施较落后,防灾减灾能力有待提升。
2)指标权重分析显示,“状态韧性”对乡村社区整体韧性的贡献最大。其中,居住系统中的“C9村民住宅建筑质量”权重最高,表明住宅建筑的稳健性对于提升社区灾害韧性至关重要。压力韧性方面,“C2单侧距活动断层的距离”和“C6地质灾害隐患点威胁人数”对灾害风险影响较大;响应韧性中,“C26灾害监测设备与技术配置情况”和“C27灾害预警信息发布渠道”是灾害响应能力的重要影响因素。
3)通过对典型乡村社区的案例分析发现,乡村社区灾害韧性的提升应注重多维度之间的协调联动,单一维度的改善难以有效提高整体韧性。如曹古村经历2020年泥石流灾害后,村民风险意识明显增强,但因基础设施薄弱和道路交通不便,应急响应能力受到明显限制,未能实现整体韧性的有效提升。因此,灾害韧性建设应同时兼顾居民风险意识提升、基础设施建设和外部支援能力改善,实施系统性防灾减灾策略。
4)基于评价结果与乡村社区实际情况,本研究提出了针对性的防灾减灾策略建议:压力韧性方面,应以灾害风险识别与工程防治措施为重点;状态韧性方面,应加强住宅建筑抗震改造与防灾设施完善;响应韧性方面,应注重灾害监测预警体系建设,并积极挖掘和应用传统防灾知识。
此外,本研究所构建的指标体系充分聚焦乡村地域的属性特征,结合凉山州安宁河流域乡村人居环境现状,在指标选取中充分考虑了当地文化背景、居民防灾认知与传统防灾经验等特色性因素,具有较强的理论贡献与现实指导意义。这一体系不仅丰富了乡村防灾减灾领域的研究内容,为乡村人居环境系统韧性的提升提供了理论支撑,同时也能更精准地评估乡村社区的灾害韧性表现,为乡村社区的防灾减灾规划与可持续发展提供有效决策依据。本文主要针对地震和地质灾害2类自然灾害展开韧性评价与防灾减灾规划策略的研究,缺乏对乡村社区内可能发生的居民区火灾、森林火灾等突发安全事件的考量。同时,韧性评价典型社区选取的数量偏少,仅在“一市三县”各选取一个乡村社区。未来,在社区灾害韧性的评价中,应结合社区的实际情况,将多种灾害类型都纳入考虑,同时需对更多乡村社区进行调研并开展针对性评价,以对山地乡村社区灾害韧性进行更为整体、全面地评价。

吴元飞:提出本文的研究思路,负责总体框架构建和研究方法设计,完成初稿撰写及全面修改;

刘梦颖:完成文献资料的收集与理论分析,参与数据处理与结果分析,协助论文撰写与修改完善;

田兵伟:指导研究设计与实施,组织并主持实地调研和数据采集,审阅并修改全文,对研究成果进行整体把关;

田人杰:参与数据整理,协助完成论文后期修改和校对工作;

胡逸凡:参与图表绘制,协助论文后期修改校对。

Boston M, Bernie D, Brogden L, Forster A, Galbrun L, Hepburn L, Lawanson T, and Morkel J. 2024. Community Resilience: A Multidisciplinary Exploration for Inclusive Strategies and Scalable Solutions. Resilient Cities and Structures, 3(1): 114-130.

Cox R S and Hamlen M. 2015. Community Disaster Resilience and the Rural Resilience Index. American Behavioral Scientist, 59(2): 220-237.

Cutter S L, Ash K D, and Emrich C T. 2016. Urban-Rural Differences in Disaster Resilience. Annals of the American Association of Geographers, 106(6): 1236-1252.

Cutter S L, Barnes L, Berry M, Burton C, Evans E, Tate E, and Webb J. 2008. A Place-Based Model for Understanding Community Resilience to Natural Disasters. Global Environmental Change-Human And Policy Dimensions, 18(4): 598-606.

陈驰,彭翀,袁佳利,钱瑛,李灿. 2023. 突发公共卫生事件下的乡村韧性评价与提升策略——以湖南省湘阴县为例. 上海城市规划,(2):23-28.

Chen Chi, Peng Chong, Yuan Jiali, Qian Ying, and Li Can. 2023. Evaluation and Improvement Strategies of Rural Resilience under Public Health Emergencies: A Case Study of Xiangyin County, Hu'nan Province. Shanghai Urban Planning Review, (2): 23-28.

陈怀宇,张子源,梁瑜璠. 2023. 社会资本对防洪中村民自助互助意识影响分析. 中国安全生产科学技术,19(4):28-34.

Chen Huaiyu, Zhang Ziyuan, and Liang Yufan. 2023. Influence Analysis of Social Capital on Self-Help and Mutual Assistance Awareness of Villagers in Flood Control. Journal of Safety Science and Technology, 19(4): 28-34.

陈前虎,章建明,李筱曼,陈玮玮,王安琪. 2023. 杭州市乡村地区国土空间规划的传导及协同策略探索. 小城镇建设,41(9):22-29.

Chen Qianhu, Zhang Jianming, Li Xiaoman, Chen Weiwei, and Wang Anqi. 2023. The Exploration of Transmission and Synergy Strategies for Spatial Planning in Rural Territory of Hangzhou. Development of Small Cities & Towns, 41(9): 22-29.

崔鹏,李德智,陈红霞,崔庆斌. 2018. 社区韧性研究述评与展望:概念、维度和评价. 现代城市研究,(11):119-125.

Cui Peng, Li Dezhi, Chen Hongxia, and Cui Qingbin. 2018. Research Review and Prospect of Community Resilience Research: Concepts, Dimensions, and Evaluation. Modern Urban Research, (11): 119-125.

杜宇琛,葛永刚,梁馨月,孙庆敏,陈攀. 2022. 确定性系数与地理探测器模型耦合的泥石流易发性评估方法研究——以安宁河流域为例. 防灾减灾工程学报,42(4):664-673.

Du Yuchen, Ge Yonggang, Liang Xinyue, Sun Qingmin, and Chen Pan. 2022. Research of Debris Flow Susceptibility Based on the Coupling of Certainty Factor Method and Geo Detector Model in Anning River Basin. Journal of Disaster Prevention and Mitigation Engineering, 42(4): 664-673.

Fan J, Mo Y, Cai Y, Mo Y, Zhao Y, and Su D. 2021. Evaluation of Community Resilience in Rural China-Taking Licheng Subdistrict, Guangzhou as an Example. International Journal of Environmental Research and Public Health, 18(11): 5827.

高钰桔,毛志睿,陈笑葵,易纯. 2023. 元阳哈尼梯田遗产乡村聚落韧性测度及优化策略——以多依树村为例. 经济地理,43(8):220-228.

Gao Yujie, Mao Zhirui, Chen Xiaokui, and Yi Chun. 2023. Resilience Measurement of Rural Settlement in Hani Terrace Field Heritage in Yuanyang and Its Optimization Strategy: A Case Study of Duoyishu Village. Economic Geography, 43(8): 220-228.

高禄,那仁满都拉,郭恩亮,王永芳,董金义,贾书承. 2024. 基于绿色与安全理念的城市韧性评价研究——以呼和浩特市街道为例. 灾害学,39(1):216-221.

Gao Lu, Narenmandula, Guo Enliang, Wang Yongfang, Dong Jinyi, and Jia Shucheng. 2024. Urban Resilience Evaluation Research Based on Green Safety Concept: A Case Study of Area of Hohhot Street. Journal of Catastrophology, 39(1): 216-221.

郭佳,翟国方,葛懿夫. 2023. 乡村人居环境综合韧性指数构建及实证研究——以江苏省为例. 上海城市规划,(2):15-22.

Guo Jia, Zhai Guofang, and Ge Yifu. 2023. Resilience Assessment and Scale Correlation of Rural Settlements in Mountainous Ethnic Tourism Destinations. Shanghai Urban Planning Review, (2): 15-22.

贾垚焱,胡静,刘大均,徐欣. 2022. 山区民族旅游地乡村聚落韧性评估及尺度关联研究. 经济地理,42(8):194-204.

Jia Yaoyan, Hu Jing, Liu Dajun, and Xu Xin. 2022. Resilience Assessment and Scale Correlation of Rural Settlements in Mountainous Ethnic Tourism Destinations. Economic Geography, 42(8): 194-204.

Kelly C, Ferrara A, Wilson G A, Ferrara A, Ripullone E, Nole A, Harmer N, and Salvati L. 2015. Community Resilience and Land Degradation in Forest and Shrubland Socio-Ecological Systems: Evidence from Gorgoglione, Basilicata, Italy. Land Use Policy, 46: 11-20.

雷晓康,汪静. 2020. 乡村振兴背景下农村贫困地区韧性治理的实现路径与推进策略. 济南大学学报(社会科学版),30(1):92-99,159.

Lei Xiaokang and Wang Jing. 2020. Implementing Path and Promoting Strategy of Resilience Governance in Poverty -Stricken Areas under the Background of Rural Revitalization. Journal of University of Jinan(Social Science Edition), 30(1): 92-99, 159.

李楠. 2011. 山地城市规划设计研究与实践. 重庆:重庆交通大学.

Li Nan. 2011. Research and Practice of Moutain Ubran Planning and Design. Chongqing: Chongqing Jiaotong University.

李亚,翟国方. 2017. 我国城市灾害韧性评估及其提升策略研究. 规划师,33(8):5-11. [Li Ya and Zhai Guofang. 2017. China's Urban Disaster Resilience Evaluation And Promotion. Planners, 33(8): 5-11. ]

李玉恒,黄惠倩,宋传垚. 2021. 贫困地区乡村经济韧性研究及其启示——以河北省阳原县为例. 地理科学进展,40(11):1839-1846.

Li Yuheng, Huang Huiqian, and Song Chuanyao. 2021. Rural Economic Resilience in Poor Areas and Its Enlightenment: Case Study of Yangyuan County, Hebei Province. Progress in Geography, 40(11): 1839-1846.

李东麟,廖和平,郑萧,朱琳,杨胜强,张甜. 2022. 西南丘陵山区乡村经济韧性测度及空间格局研究——以重庆市为例. 西南大学学报(自然科学版),44(11):13-24.

Li Donglin, Liao Heping, Zheng Xiao, Zhu Lin, Yang Shengqiang, and Zhang Tian. 2022. Study on the Measurement and Spatial Pattern of Rural Economic Resilience in Hilly and Mountainous Areas of Southwest China:A Case Study of Chongqing. Journal of Southwest University (Natural Science Edition), 44(11): 13-24.

李东泉,王晨哲,李雪伟. 2023. 基于行动者网络理论的社区韧性研究:理论框架与应用分析. 同济大学学报(社会科学版),34(5):60-71.

Li Dongquan, Wang Chenzhe, and Li Xuewei. 2023. Research on Community Resilience Based on Actor-Network Theory: Theoretical Framework and Applied Analysis. Journal of Tongji University (Social Science Edition), 34(5): 60-71.

李明,刘勤,王玉宽,崔鹏,高星,第宝锋,柳金峰,祁生文,陈容,谭春萍,徐梦珍,孙昊,张建强,陈剑刚,邹强. 2023. 构建山区综合减灾与特色产业协同模式,助力我国山区高质量发展. 中国科学院院刊,38(12):1818-1832.

Li Ming, Liu Qin, Wang Yukuan, Cui Peng, Gao Xing, Di Baofeng, Liu Jinfeng, Qi Shengwen, Cheng Rong, Tan Chunping, Xu Mengzhen, Sun Hao, Zhang Jianqiang, Chen Jiangang, and Zou Qiang. 2023. Synthetical Solution of Disaster Risk Reduction and Green Development: A Novel Mode Promoting High-Quality Development in Mountain Areas of China. Bulletin of Chinese Academy of Sciences, 38(12): 1818-1832.

刘梦颖,王玲,田兵伟. 2025. 我国城市与乡村韧性研究发展与热点比较分析——基于CiteSpace知识图谱. 中外建筑,(1):43-48.

Liu Mengying,Wang Ling, and Tian Bingwei. 2025. A Comparative Analysis of the Research Development and Hotspots of Urban and Rural Resilience in China Based on CiteSpace Knowledge Graph Mapping. Chinese & Overseas Architecture,(1): 43-48.

刘泽照,马瑞. 2021. 防灾减灾视域下城市韧性评价体系构建及应用——基于江苏省13个城市研究. 中国应急管理科学,(5):27-41.

Liu Zezhao and Ma Rui. 2021. Construction and Application of Urban Resilience Evaluation System in Disaster Prevention and Mitigation Perspective: Based on Panel Data of 13 Cities in Jiangsu Province. Journal of China Emergency Management Science (5): 27-41.

买欣,陶伟,刘望保. 2023. 国内外乡村韧性研究进展评述. 人文地理,38(2):28-34.

Mai Xin, Tao Wei, and Liu Wangbao. 2023. Literature Review on the Research Progress of Rural Resilience. Human Geography, 38(2): 28-34.

邱明丽,刘殿锋,刘耀林. 2021. 乡村韧性理论框架与测度体系. 中国土地科学,35(8):107-114.

Qiu Mingli, Liu Dianfeng, and Liu Yaolin. 2021. Review on Theoretical Framework and Evaluation System of Rural Resilience. China Land Science, 35(8): 107-114.

尚科科,贾洪全. 2017. 山区泥石流特点及其防治方法探讨. 化工设计通讯,43(11):207.

Shang Keke and Jia Hongquan. 2017. Characteristics of Debris Flow in mountain Area and Its Control. Chemical Engineering Design Communications, 43(11): 207.

邵侃. 2022. 文化生态的因应协同:西南民族地区农村综合防灾减灾能力建设的行动取向. 原生态民族文化学刊,14(4):54-61,154.

Shao Kan. 2022. Response and Coordination of Cultural Ecology: The Action Orientation of the Comprehensive Capacity Building of Disaster Prevention and Alleviation in Rural Areas of Southwest Ethnic. Journal of Ethnic Culture, 14(4): 54-61, 154.

四川省人民政府. 2022. 四川省人民政府关于印发《安宁河流域国土空间规划(2022—2035年)》的通知:川府发[2022]33号.(2022-11-21)[2024-05-01]. https://www.sc.gov.cn/10462/zfwjts/2022/11/22/81de151cfb1044c18c3c1be9888ba5e0.shtml.

People's Government of Sichuan Province. 2022. Notice of the People's Government of Sichuan Province on Printing and Distributing the Territorial Spatial Plan of Anning River Basin (2022-2035): Chuanfu Fa [2022] No.33.(2022-11-21)[2024-05-01]. https://www.sc.gov.cn/10462/zfwjts/2022/11/22/81de151cfb1044c18c3c1be9888ba5e0.shtml.

田兵伟,贾培静,谭旭东,周睿茜,蔡一洋,毛映卫. 2023. 旅游社区应对自然灾害的韧性评价指标体系构建. 中国生态旅游,13(5):890-906.

Tian Bingwei, Jia Peijing, Tan Xudong, Zhou Ruixi, Cai Yiyang, and Mao Yingwei. 2023. Construction of the Evaluation Index System for Natural Hazards Coping in Tourism Communities. Journal of Chinese Ecotourism, 13(5): 890-906.

田健,宿荣,曾穗平. 2022. 大运河天津段沿岸乡村“三生”脆弱性评价与韧性重构策略. 规划师,38(10):117-123.

Tian Jian, Su Rong, and Zeng Suiping. 2022. Vulnerability Assessment and Resilience Reconstruction of Rural Production-Living-Ecological Areas Along the Grand Canal, Tianjin Section. Planners, 38(10): 117-123.

Wang H, Xu Y, and Wei X. 2023. Rural Resilience Evaluation and Influencing Factor Analysis Based on Geographical Detector Method and Multiscale Geographically Weighted Regression. Land, 12(7): 1270.

Wen H, Huang J, Qian L, Huang J, Qian L, Li Z, Zhang Y, and Zhang J. 2024. The Spatial-Temporal Evolution Patterns of Landslide-Oriented Resilience in Mountainous City: A Case Study of Chongqing, China. Journal of Environmental Management, 370: 122963.

文海家,钱龙,李卓航,黄俊豪. 2024. 山地城镇洪涝滑坡灾害韧性评估研究. 防灾减灾工程学报,44(4):751-761.

Wen Haijia, Qian Long, Li Zhuohang, and Huang Junhao. 2024. Resilience Assessment of Flood and Landslide Disaster in Mountainous Towns. Journal of Disaster Prevention and Mitigation Engineering, 44(4): 751-761.

Wilson G A. 2014. Community Resilience, Transitional Corridors and Macro-Scalar Lock-in Effects. Environmental Policy and Governance, 24(1): 42-59.

Wilson G A, Hu Z, and Rahman S. 2018. Community Resilience in Rural China: The Case of Hu Village, Sichuan Province. Journal of Rural Studies, 60: 130-140.

Wu J Y and Chen L C. 2023. Traditional Indigenous Ecological Knowledge to Enhance Community-Based Disaster Resilience: Taiwan Mountain Area. Natural Hazards Review, 24(1): 05022014.

王量量,蒋浩宇,刘佳欣,庄睦雄. 2022. 社会资本在社区防灾中的应用研究——以台湾新北市自主防灾小区为例. 上海城市规划,(4):38-42.

Wang Liangliang, Jiang Haoyu, Liu Jiaxin, and Zhuang Muxiong. 2022. Discussion on the Application of Social Capital in Disaster Prevention for Communities: A Case Study of Autonomous Disaster Prevention Community in Xinbei City, Taiwan. Shanghai Urban Planning Review, (4): 38-42.

Yang B, Feldman M W, and Li S. 2020. The Status of Perceived Community Resilience in Transitional Rural Society: An Empirical Study from Central China. Journal of Rural Studies, 80: 427-438.

Yu J, Zhang J, Zhou M, Zhang J, and Cai W. 2023. Impact of COVID-19 on the Comprehensive Resilience of Rural Areas-A Case Study of Jilin Province of China. Sustainability, 15(4): 3152.

张荐铭,甘淑,袁希平. 2020. 基于SBAS-InSAR技术和Sentinel数据分析东川泥石流沟边坡稳定性. 工程勘察,48(10):53-59.

Zhang Jianming, Gan Shu, and Yuan XiPing. 2020. Slope Stability Analysis of Debris Flow Gully in Dongchuan Based on SBAS-InSAR using Sentinel-1 SAR Images. Geotechnical Investigation & Surveying, 48(10): 53-59.

赵屹峰,陈磊磊. 2024. 泥石流灾害及工程防治对策研究. 建设科技,(2):28-30.

Zhao Yifeng and Chen Leilei. 2024. Research on Debris Flow Disasters and Engineering Prevention and Control Countermeasures. Construction Science and Technology,(2): 28-30.

周国贤. 2023. 国土空间规划背景下灾害风险评估方法探索. 智能建筑与智慧城市,(12):29-32.

Zhou Guoxian. 2023. Exploration of Disaster Risk Assessment Methods in the Context of Territorial Space Planning. Intelligent Building & Smart City, (12): 29-32.

朱晏君,李红波,胡晓亮,乔伟峰,胡霄. 2022. 欠发达地区县域乡村社会-生态系统韧性研究——以山西省静乐县为例. 湖南师范大学自然科学学报,45(1):11-19,56.

Zhu Yanjun, Li Hongbo, Hu Xiaoliang, Qiao Weifeng, and Hu Xiao. 2022. Evaluation and Improvement Strategies of Rural Resilience under Public Health Emergencies: A Case Study of Xiangyin County, Hu'nan Province. Journal of Natural Science of Hunan Normal University, 45(1): 11-19, 56.

祝文婷,韦燕飞,李文辉,董新华. 2023. “三生”视角下的西江流域(广西段)乡村韧性时空分异特征. 水土保持研究,30(4):438-446.

Zhu Wenting, Wei Yanfei, Li Wenhui, and Dong Xinhua. 2023. Spatiotemporal Differentiation Characteristics of Rural Resilience in the Xijiang River Basin(Guangxi Section) from the Perspective of Production-Living-Ecology. Research of Soil and Water Conservation, 30(4): 438-446.

资明贵,周怡,罗静,张春燕,高子翔. 2022. 山区乡村地域系统韧性测度及影响因素研究——以大别山区罗田县为例. 地理科学进展,41(10):1819-1832.

Zi Minggui, Zhou Yi, Luo Jing, Zhang Chunyan, and Gao Zixiang. 2022. Measurement and Influencing Factors of Rural Regional System Resilience in Mountainous Areas: A Case Study of Luotian County in the Dabie Mountains. Progress in Geography, 41(10): 1819-1832.

中华人民共和国国家质量监督检验检疫总局,中国国家标准化管理委员会. 2015. 中国地震动参数区划图(GB18306-2015). 北京:中国标准出版社.

General Administration of Quality Supervision, Inspection and Quarantine of the People's Republic of China and Standardization Administration of China. 2015. Seismic Parameter Zoning Map of China (GB18306-2015). Beijing: Standards Press of China.

朱圣钟. 2005. 彝族历史地理研究——历史时期四川凉山彝族地区经济开发与环境变迁. 成都:四川大学.

Zhu Shengzhong. 2005. Studies on the Yis Ethnic Historical Geography: Ecnomic Devolopment and Enviromental Changes of Sichuan Y'ts Ethnic Districts in History. Chengdu: Sichuan University.

文章导航

/