×
模态框(Modal)标题
在这里添加一些文本
关闭
关闭
提交更改
取消
确定并提交
×
模态框(Modal)标题
×
期刊
文章
图表
检索
EN
中文
首页
关于期刊
期刊介绍
数据库收录
期刊荣誉
编委会
投稿须知
版权和许可信息
出版伦理规范
同行评审细节
开放获取声明
投稿指南
联系我们
在线期刊
当期目录
优先出版
过刊浏览
推荐文章
专题
按栏目浏览
阅读排行
下载排行
引用排行
E-mail Alert
RSS
期刊订阅
热点专题
学术直播
EN
中文
图/表 详细信息
基于客流特征的轨道站点影响区和轨道站点之间功能布局研究——以厦门为例
万莉, 高悦尔, 沈晶晶
热带地理,
图8
厦门市日均客流OD的空间分布
本文的其它图/表
图1
厦门市轨道线路-城市空间结构(a)与轨道线路-城市人口密度分布(b)
表1
厦门市轨道站点周边POI对应的功能分类
表2
站点周边各功能类型POI权重指标
图2
轨道站点的功能确定
图3
厦门市各类轨道站点空间分布
图4
2022年1月厦门各轨道站点日均进出站客流量
图5
厦门市各功能类型站点日均客流量
图6
厦门市各功能类型的空间分布及其日均客流量
图7
厦门市各功能类型站点间OD量
图9
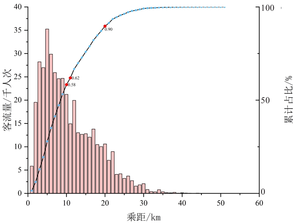
厦门轨道客流乘距分布
图10
厦门市站点各距离段OD比例