Experimental Study on Wave Nonlinear Characteristics at a Complex Uneven Fringing Reef

  • Chao Wang , 1 ,
  • Ke Qu , 1, 2, 3 ,
  • Xu Wang 1, 2 ,
  • Jiaying Chen 4 ,
  • Aoyu Wang 1
Expand
  • 1. School of Hydraulic and Ocean Engineering, Changsha University of Science and Technology, Changsha 410114, China
  • 2. Key Laboratory of Dongting Lake Aquatic Eco-Environmental Control and Restoration of Hunan Province, Changsha 410114, China
  • 3. Key Laboratory of Water-Sediment Sciences and Water Disaster Prevention of Hunan Province, Changsha 410114, China
  • 4. School of Civil Engineering and Architecture, Hainan University, Haikou 570228, China

Received date: 2024-08-01

  Revised date: 2024-11-11

  Online published: 2025-06-28

Abstract

In this study, the variation law of nonlinear characteristic parameters of waves near islands and reefs with different slopes was examined through physical model tests. The main conclusions are as follows: (1) When a regular wave propagates to the shallow water area of the first reef flat, the peak becomes steep, the trough becomes flat, and the wave surface presents a shape similar to an elliptical cosine wave. The wave shallowing deformation near the reef flat steps reaches the limit, the amplitude increases significantly, and the front surface of the wave peak becomes steep and gradually asymmetric. The wave breaks on the second reef flat, the wave energy transfers from the main wave frequency to the high frequency, the traveling wave is regenerated, and an obvious secondary wave peak appears. (2) In the process of wave propagation from the far-sea end to the vicinity of the reef edge, because of the shallowing deformation, high-order constrained harmonics are generated, which makes the wave surface asymmetric along the horizontal axis and vertical axis. The amplitude of the wave skewness, asymmetry, and peak of the Usser number reaches a maximum near the reef flat step and then decreases rapidly on the second reef flat. The wave surface gradually approaches symmetry in the direction of the horizontal axis and the vertical axis. The amplitudes of the three nonlinear characteristic parameters increases with the increase in incident wave height and wave period and decreases with the increase in reef flat water depth. (3) When the nonlinearity of the incident wave is stronger, the asymmetry and skewness are larger. As the Eser number increased, the wave skewness showed a positive correlation with the increasing trend, while the asymmetry showed a negative correlation with the decreasing trend. A certain correlation was observed between the wave skewness and asymmetry on the reef flat with different slope and the local Ursell number. Based on this result, this study proposes a set of empirical formulas for wave skewness and asymmetry parameters on reef flat with different slope angle.This study enriches the hydrodynamic theory of complex coral reef coasts and lays a foundation for further research on the ecological environment protection and coastal evolution mechanism in the sea area near coral reefs. However, this study only discusses the variation law of wave nonlinear characteristic parameters near islands and reefs with different slopes under the influence of wave factor changes. In the future, the influence of differences of island topography on wave nonlinearity should be studied in greater detail.

Cite this article

Chao Wang , Ke Qu , Xu Wang , Jiaying Chen , Aoyu Wang . Experimental Study on Wave Nonlinear Characteristics at a Complex Uneven Fringing Reef[J]. Tropical Geography, 2025 , 45(6) : 1045 -1052 . DOI: 10.13284/j.cnki.rddl.20240510

珊瑚礁是历经数百年时间由造礁珊瑚虫的碳酸钙遗骸堆积而成,广泛分布于热带和亚热带海岸地区(Gourlay et al., 1996)。典型的珊瑚礁地形由陡峭的礁前斜坡和较为平坦的浅水礁坪组成,礁前斜坡和礁坪的连接地带称为礁缘(姚宇,2019)。已有研究表明,从远海端入射的大部分波浪能量可通过礁前斜坡反射、礁缘附近或礁坪上的破碎过程以及礁坪底部摩擦作用不断被耗散(Lugo-Fernández et al., 1994; Hardy & Young, 1996; Gelfenbaum et al., 2011)。因此,珊瑚礁海岸可以对波浪起天然缓冲作用,有效地降低波浪对海岸的破坏,保护后方人口密集地区的安全(Harris et al., 2015)。近些年来,随着人类对海洋资源的需求不断增长,并且近十几年来中国对南海岛礁进行了大力的开发利用,各类基础设施的建设也日益增多,如通信塔、海上风电场、船坞、航运枢纽、科研站以及度假村等设施(陈韶阳 等,2022)。因此,深入研究波浪在复杂珊瑚岛礁上传播规律非常必要,一方面可为海岸防护和灾害评估提供理论支撑,另一方面可以为岛礁建筑物在设计和施工过程中提供一定的指导意义。
国内外学者通过现场观测、物理模型试验和数值模拟等手段,对典型岛礁附近的波浪水动力特性变化规律展开了大量研究。如Young等(1989)通过现场实测数据的分析,发现波浪在礁坪上的衰减主要受到地形引起的底部摩擦和波浪破碎的影响。此外,波浪在传播过程中还受到折射和绕射等因素的影响,导致礁坪上的波高显著降低。Gourlay等(1996)通过构建珊瑚礁地形的等比缩放模型,在实验室环境下模拟波浪与珊瑚礁之间的相互作用,对波浪在珊瑚礁地形上的传播变形、波浪增水以及波生流的变化规律进行了深入研究。Nwogu & Demirbilek(2010)通过物理模型试验,研究了不规则波在复合礁前斜坡的珊瑚礁地形上的转化和岸线上的波浪爬高,得出大部分短波在礁坪上发生破碎,使得长周期波主导礁坪上的水体运动。朱干城等(2019)通过物理模型试验,研究了在礁坪上建设直墙结构物对波浪在礁坪上传播变化特性的影响,得出由于礁坪末端直墙结构的阻碍,使得礁坪上的增水和波高显著增加。Qu等(2024)基于非静压单相流模型(NHWAVE),通过求解sigma坐标系下的Navier-Stokes方程,计算波浪在透水珊瑚岸礁上的传播演变,并系统分析了珊瑚礁透水层的厚度、孔隙率及透水层介质的中值粒径等因素对亚重力波沿礁传播变化规律的影响。王旭等(2024)基于非静压单相流模型NHWAVE,系统分析了人工采砂坑对规则波岸礁水动力特性的影响,对波浪在人工采砂坑影响下的传播变形、波浪增水和波浪进行了深入分析。
然而,以往研究关于岛礁对波浪非线性特征影响的讨论较少,而礁坪地形变化对规则波非线性特征的影响更是鲜有报道。Cheriton等(2016)对马绍尔群岛上的波浪进行现场测量,并采用非线性特征参数评估低频长波的波形变化特征。陈洪州等(2018)基于Boussinesq方程的数值模型(FUWAVE 2.0)模拟了不规则波浪在不同形状岸礁上的传播变形过程,结果表明礁坡坡度对波浪的不对称度特征具有显著影响,礁坪粗糙度的影响则相对较小,而波浪偏度受这2个影响因素的影响则完全可以忽略。Lowe等(2019)基于光滑粒子法(SPH)模拟了波浪在破碎带内的水动力过程,研究了波浪在破碎带内的不对称性和偏度的变化。波浪在珊瑚岛礁上传播过程中的非线性特征不仅决定了礁坪上营养物质的运输,同时也是近岸珊瑚砂运动的主要驱动力,对于珊瑚礁附近海域的生态环境和海岸演变具有重要意义(姚宇,2019)。自然界中部分珊瑚礁岛礁受波浪冲蚀与堆积影响,礁坪上形成坡度较缓的外礁坪以及礁凸起地貌单元(曹广颂 等,2020)。梅弢等(2013)基于南沙群岛某珊瑚岛礁实测各岸段礁前缘至沙岛岸滩坡面间的礁坪剖面线形态图,观察到礁坪剖面受所在海域风浪流长期动力条件影响,导致其坡度形态及分布各异,呈现差异坡度礁坪地貌结构。以上对岛礁上非线性特征研究的模型试验或数值模拟多在理想条件的平坦礁坪进行,缺乏构建更贴近实际地形的模型,探讨复杂地形条件下非线性波浪特征的变化机制及其驱动因素。
因此,本文基于物理模型试验,开展差异坡度岛礁对波浪非线性特征变化影响研究,重点探讨差异坡度礁坪下规则波的偏度、不对称度和厄塞尔数的沿礁变化。以期丰富在差异坡度岛礁地形下的波浪非线性特征理论,为涉及到岛礁周围区域的波浪特性、岸滩稳定性等方面的海洋工程提供科学依据。

1 试验概况

1.1 模型设置

差异坡度岛礁对波浪传播变形与增水影响的试验研究在长沙理工大学水利实验中心多功能波浪水槽中进行,波浪水槽长45.0 m、宽0.8 m、高1.0 m,工作水深为0.2~0.7 m。水槽首端安装推板式造波机,末端放置斜坡式消能网用来减少波浪反射对试验的影响。试验比尺按照Fr相似准则设计为1∶40。礁前斜坡坡脚距造波机为23.85 m,高度为0.263 m,坡度为1∶3。在距离造波机27.4 m处设置礁坪,礁坪分为第一礁坪和第二礁坪,长度分别为0.97和4.12 m,距离水槽底端的距离分别为0.48和0.605 m,试验布置如图1所示。为保证试验过程中模型的稳定性,模型通过钢架支撑于水槽中,为减小摩阻对实验结果的影响,珊瑚礁模型的礁面采用较为光滑的PVC板进行拼接;为防止透水,在PVC板材拼接处及板材与水槽的接缝处使用玻璃胶密封。
图1 试验布置图和变量的定义

注: h 0为远海侧静水深,Lp 1为第一礁坪宽度,Lp 2为第二礁坪宽度,G1-G15为浪高仪编号。

Fig.1 Experiment setup layout and some physical variable definitions

1.2 测量仪器

试验采用15根浪高仪测量波浪在珊瑚礁地形上沿程自由表面的变化特性。G1~G4位于礁前斜坡的远海侧,用于测量入射波和反射波。G5~G6、G7~G8分别位于礁前斜坡、珊瑚岛礁礁缘,用于观察波浪变形。G9~G15覆盖整个礁坪,用于观测波浪从礁缘传播至礁坪过程中波浪的传播变形规律。浪高仪数据采集频率为50 Hz,采样时长200 s。试验涉及仪器在试验前后都进行校准,以确保精度和稳定性。

1.3 试验工况

试验选取入射波高H 0=0.06 m,第二礁坪淹没水深(礁坪水深)hr =0.05 m及波浪周期T 0=1.5 s为标准工况,设置5种入射波高H 0=0.02、0.04、0.06、0.08、0.10 m,3种礁坪水深hr =0.025、0.05、0.075 m和5种波浪周期T=1.0、1.25、1.5、1.75、2.0 s共75组工况。根据试验的几何比尺,基于现场观测的波浪要素范围,试验工况的波浪要素对应原型波浪要素为hr =1、2、3 m和H 0=0.8、1.6、2.4、3.2、4.0 m。

2 结果与分析

2.1 波面时间序列和能量分布的沿礁变化

为研究差异坡度岛礁地形对规则波沿礁传播过程中时域和频域上的影响,选取标准工况条件下6个重要测点位置处波面时间序列和频域能量分布进行分析。图2展示了标准工况条件下规则波沿礁不同位置处的时间序列,可以发现,规则波在远海端(G1)的传播没有受到差异坡度岛礁地形影响,波形主要表现出规则的线性波形态。当波浪传播至礁缘(G7)附近时,波浪受水深降低发生浅化变形,波面呈现轻微前倾趋势。在第一礁坪上(G9),波浪浅化变形效应加剧,使得波面表现出波谷平坦且波峰尖陡类似椭圆余弦波的形态。波浪在礁坪台阶附近(G11)发生破碎,此时波浪特征表现出波幅增大,波峰前倾,波面呈现明显的不对称形态。在第二礁坪中段(G13)位置处的破碎带内,波面出现明显的锯齿状,波幅明显降低。在第二礁坪末端(G15),波浪破碎终止,波浪在破碎过程中耗散了大部分能量,波高显著衰减。波浪在第二礁坪末端重新生成稳定的透射波,波面出现明显的次波峰。图3展示了沿礁不同位置波浪频域的能量分布,可以发现,波浪在远海端(G1)传播时,波能主要分布在主频波频率(f=0.75 Hz)附近。在礁缘(G7)位置处波浪受到轻微反射影响,部分波能转移到二倍频f=1.5 Hz处。在第一礁坪(G9)上,主频波波能下降,波能从低频向高频转移。随着波浪传播至礁坪台阶(G11)位置处,波浪浅水变形严重(图2-d),波高迅速增大进而波能随着增加。在第二礁坪(G13)上,波浪破碎程度加剧,其主频波能量衰减更为剧烈。在第二礁坪末端,波能均匀分布在不同频次谐波附近,这是导致波面出现次波峰的主要原因(图2-f)。
图2 沿礁不同位置波面的时间序列

Fig.2 Time series of free surface elevation at different cross reef locations

图3 沿礁不同位置波浪频域的能量谱密度(S)分布

Fig.3 Time wave spectrum(S) of the different cross reef locations

2.2 非线性特征参数的沿礁变化

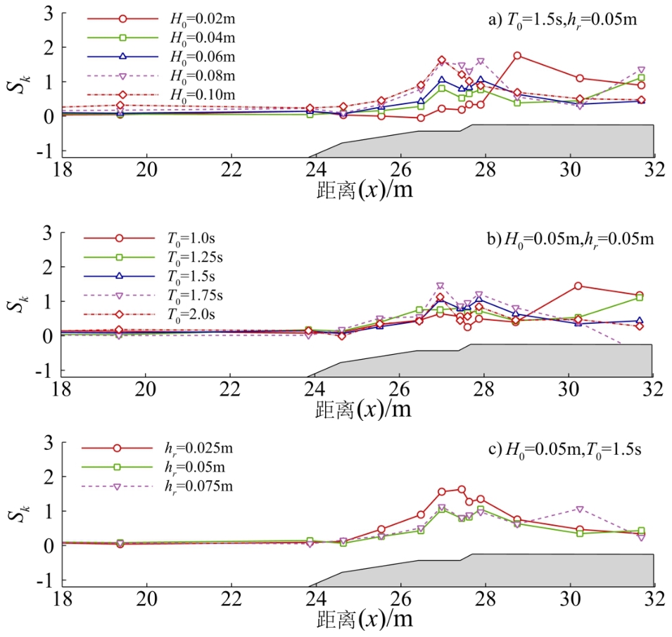
2.2.1 偏度

波浪从远海向近岸传播时,在礁缘和礁坪受到浅化作用的影响,其非线性特征会显著增强。偏度(S)是描述波浪非线性特征常采用的参数之一,代表波浪相对水平轴的不对称程度,S正向变大时波峰尖锐,波谷变得平坦。其定义式为:
S k = < ( η - η ¯ ) 3 > < ( η - η ¯ ) 2 > 3 / 2
式中: η为波面高程; η ¯为平均水位;< >为对波浪取周期平均。
图4分别展示了不同入射波高、波浪周期和礁坪水深条件下沿礁不同位置测点处波浪偏度(S)的变化。可以看出,波浪在外海深水区传播时,Sk 的值趋近于0,波浪传播呈现为较为稳定的对称形态。随着波浪传播至礁前斜坡,由于浅化作用导致波浪的非线性特征逐渐增强,Sk 值逐渐增加,波浪形态逐渐向出波峰尖锐、波谷平坦的趋势发展。随后波浪在礁坪台阶附近发生破碎,Sk 值急剧增加,直到破碎带结束达到峰值。波浪破碎后继续在礁坪上传播时,经过破碎带的调整波高与水深相适应,生成波面稳定的浅水透射波,波浪偏度的值逐渐减小趋近于0。值得注意的是,礁坪台阶位置处Sk 值出现明显的次峰,这是由于波浪在礁坪台阶位置处产生第二次破碎的影响。图4-a展示了不同入射波高条件下波浪偏度沿差异坡度岛礁的变化,可以看出,入射波高H 0=0.02 m时,S的峰值出现在第二礁坪上,其他4种波高的峰值均发生在礁坪台阶附近。这是因为较小波高的波浪在礁缘和第一礁坪位置处水深未达到波浪破碎极限水深,进入更浅水深的第二礁坪才发生破碎,此时Sk 值达到峰值。入射波高从H 0=0.04 m增加至0.10 m,破碎带内Sk 值逐渐增大,增幅约为103.0%。图4-b展示了不同波浪周期条件下波浪偏度沿差异坡度岛礁的变化,可以看出,第一礁坪波浪偏度峰值呈现随波浪周期增加而先增大后降低的趋势。在试验工况范围内T 0=1.75 s时Sk 值最大,此工况在第二礁坪上Sk 值变化范围也更为广泛,说明波浪周期T 0=1.75 s的规则波受差异坡度岛礁地形的非线性特征影响较大。图4-c展示了不同礁坪水深条件下波浪偏度沿差异坡度岛礁的变化,可以看出,礁坪水深从hr =0.025 m增加至hr =0.05 m,Sk 值降低幅度较大。然而,礁坪水深hr =0.05和0.075 m在礁坪台阶附近S值几乎不受水深变化的影响。这是因为礁坪水深较小时,波浪在礁坪上破碎程度更剧烈,其波浪相对水平轴的不对称程度加剧。hr 从0.025增加至0.05 m,第一礁坪Sk 的峰值值降低幅度约为33.0%。当礁坪水深hr =0.075 m时,第二礁坪上S值出现明显的振荡现象,这是由于破碎带内波浪受浅化作用产生自由高频波的影响。
图4 波浪偏度(Sk )的沿礁变化

注: H 0为不同入射波高,hr 为礁坪水深,T 0为波浪周期,x为距离造波机距离。

Fig.4 Variation of the wave skewness(Sk ) across the reef profile

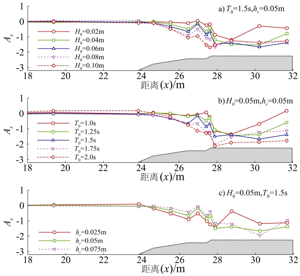
2.2.2 不对称度

不对称度(As )作为描述波浪非线性特征通常采用的参数之一,其代表波浪相对垂直轴的不对称程度,As 的正值和负值分别代表波浪整体后倾和前倾的程度。其定义式(陈洪洲 等,2018)为:
A s = < Γ 3 ( η - η ¯ ) > < ( η - η ¯ ) 2 > 3 / 2
式中: Γ为希尔伯特变化。
图5分别展示了不同入射波高、波浪周期和礁坪水深条件下沿礁不同位置测点处波浪不对称度(As )的变化。外海侧由于水深较深,波浪不对称度参数基本为0,此时波浪以标准的线性波形态向岸线方向传播。随着波浪传播至礁缘,由于浅化作用导致波浪的非线性特征逐渐增强,在第一礁坪上产生高次约束谐波,从而使得As 值逐渐减小,波浪逐渐向波峰变陡、波头前倾形态发展。随后波浪在礁坪台阶附近发生破碎,As 值急剧降低,直到破碎带结束达到最小值。与上述Sk 值相同,受波浪第二次破碎导致As 值在礁坪台阶位置处出现明显的次峰。波浪破碎后继续在礁坪上传播时,生成波面稳定的浅水透射波,波浪偏度的值逐渐增加。图5-a展示了不同入射波高条件下波浪不对称度沿差异坡度岛礁的变化。可以发现,随着入射波高不断增大,在破碎带礁坪台阶位置处As 的最小值逐渐减小,试验工况范围内As 的最小值降幅约为91.4%;同时,As 的最小值随波浪在差异坡度岛礁上的破碎点向外海侧移动而移动;当波高较小的波浪在第二礁坪上继续传播时,重新生成的透射波能较快和当地水深相适应形成稳定波面,As 值逐渐接近于0。图5-b是不同波浪周期条件下波浪不对称度沿差异坡度岛礁的变化,可以看出,第一礁坪波浪不对称度最小峰值整体上呈现随波浪周期增大而增加的特征;波浪周期越小,As 值在第二礁坪趋近0的速率越快,说明波浪周期越小波浪能更快地第二礁坪上形成稳定的透射波。图5-c展示了不同礁坪水深条件下波浪不对称度沿差异坡度岛礁的变化,可以发现,礁坪水深从hr =0.025 m增加至0.05 m,破碎带内As 值平均增幅约为190.2%;而hr =0.05 m至hr = 0.075 m,破碎带内As 值平均增幅约为110.7%。这说明随着礁坪水深的增加,波浪的浅化变形程度逐渐减弱,当增加到一定水深时,破碎带内波浪不对称度变化不再显著。与Sk 值类似,礁坪上的As 值同样出现不同幅度的振荡现象。
图5 波浪不对称度(As )的沿礁变化

Fig.5 Variation of the wave asymmetry(As ) across the reef profile

2.2.3 厄塞尔数

厄塞尔数(Ur )作为描述波浪非线性特征通常采用的参数之一,代表波浪在岛礁上某一位置的非线性强度。其定义式(陈洪洲 等,2018)为:
U r = L 2 H h 3
式中: L为当地的平均波长,由平均周期根据线性色散关系得到; H h分别为当地波高和水深。
图6分别展示了不同入射波高、波浪周期和礁坪水深条件下沿礁不同位置测点处波浪厄塞尔数(Ur )的变化。波浪在外海测传播过程中受岛礁地形影响较小,波浪非线性强度较弱,厄塞尔数Ur 的值趋近于0。波浪由深水传播至礁缘附近时,受地形影响浅化作用逐渐增强,波高增大,平均波长减小,其非线性特征会显著增强,Ur 值不断增大。当波浪传播至礁坪台阶附近时,波浪破碎Ur 达到峰值。随后在第二礁坪破碎带内Ur 值不断减小,直至破碎结束生成波面稳定的透射波后Ur 的值接近于0。Ur 的值在第二礁坪上未出现明显的振荡,这是因为当地平均波长远大于自由高阶波造成的波高振荡,Ur 值不再受到显著影响。图6-a展示了不同入射波高条件下波浪厄塞尔数沿差异坡度岛礁的变化,可以发现,随着入射波高不断增大,Ur 在礁坪台阶附近的峰值不断增加,试验工况范围内增幅约为402.8%。这是因为随着入射波高不断增加,第二礁坪上波浪破碎程度加剧,其非线性强度逐渐增加所致。在试验所研究的第二礁坪长度范围内,Ur 在第二礁坪上稳定后的值基本重合,说明在一定礁坪水深和波浪周期条件下,波高的变化对厄塞尔数在第二礁坪上的影响较小。图6-b是不同波浪周期条件下波浪厄塞尔数沿差异坡度岛礁的变化,可以看出,随波浪周期不断增大,礁坪台阶位置处波浪Ur 峰值不断增加,同时第二礁坪上Ur 稳定后的值逐渐增大。入射波周期从T0 =1.0 s增加至2.0 s,Ur 在礁坪台阶附近峰值增幅约为622.1%,第二礁坪上稳定后Ur 值增幅约为432.2%,说明波周期越大波浪差异坡度岛礁上非线性强度越大。图6-c展示了不同礁坪水深条件下波浪厄塞尔数沿差异坡度岛礁的变化,可以看出,礁坪水深变化对厄塞尔数在差异坡度岛礁上的影响程度具有一定阈值,第二礁坪上Ur 稳定后的值随礁坪水深的增加而降低。从礁坪水深hr =0.025 m至0.05 m,在礁坪台阶附近Ur 的峰值降幅约为87.9%,第二礁坪上稳定后Ur 值降幅约为58.0%。这是因为礁坪水深越小,波浪在差异坡度岛礁地形上浅化变形和破碎程度加剧,导致波浪非线性特征的强度显著增加。
图6 波浪厄塞尔数(Ur )的沿礁变化

Fig.6 Variation of the Ursell Number(Ur ) across the reef profile

2.3 波浪偏度和不对称度与对应厄塞尔数之间的相互关系

图7展示了差异坡度岛礁礁坪上波浪偏度(Sk )和不对称度(As )随当地厄塞尔数(Ur )之间的相关性关系。可发现,随着厄塞尔数增加,差异坡度礁坪上的波浪偏度呈正相关趋势增加,且波浪偏度值多为正数。这是因为随着厄塞尔数不断增加,波浪在礁坪上主频波能量逐渐向高频波转移,各高阶谐波之间相互作用,导致波浪偏度值产生正向增加的趋势。随着厄塞尔数增加,波浪不对称度呈负相关趋势逐渐降低,波浪不对称度值整体上为负数。这是因为随厄塞尔数的增加,波浪在礁坪上前倾程度逐渐加剧,波浪不对称度的值向小于0的方向发展。从图7-a和b可发现,波浪在第一礁坪上Ur 的值在0~300,SkAs 的趋势与其他学者所研究的平整礁坪类似(陈洪洲 等,2018)。根据参数的变化,采用一组双曲正切函数和二阶多项式函数对第一礁坪上波浪偏度和不对称度进行参数化拟合并,得到以下关系:
S = 1.04 * [ t a n h ( U r / 38.5 ) - 0.039 ]
A = 3.7 * 10 - 5 U r 2 + 0.016 * U r + 0.097
式(4)和(5)对应的相关系数R 2分别为0.54和0.89,其公式与陈洪洲等(2018)在平整礁坪上所拟合公式的相关系数相符合。从图7-c、d可发现,礁坪水深越小,波浪在第二礁坪上Ur 值的范围越广。当礁坪水深hr =0.025 m时,Ur 值在0~4 000附近。然而,在第二礁坪上上非线性特征参数Sk 通过厄塞尔数Ur 描述时,由于礁坪台阶附近波浪非线性特征显著增强,数据较为离散,但总体仍呈现一定的双曲正切函数趋势。相比S值,第二礁坪上As 的值随Ur 的变化呈现双曲正切函数趋势,其拟合公式为:
S = 1.07 * [ t a n h ( U r / 326.4 ) - 0.23 ]
A = - 1.59 * [ t a n h ( U r / 209.1 ) + 0.139 ]
式(6)和(7)对应的相关系数R2 分别为0.32和0.62。通过比较差异坡度岛礁上不同礁坪下的波浪非线性特征参数拟合结果发现,礁坪地形突变对波浪的非线性影响较大,导致第二礁坪上的波浪偏度随厄塞尔数变化较为离散,数据拟合相关性较低,但式(5)仍可以对波浪偏度进行定性预测。
图7 差异坡度岛礁礁坪区域内波浪的偏度(Sk )和不对称度(As )与对应厄塞尔数(Ur )数间的关系

Fig.7 Wave skewness(Sk ) and asymmetry(As ) with respect to the local Ursell number(Ur ) for waves on different reef flat

偏度(S 不对称度(As

3 结论与讨论

本文通过物理模型试验对差异坡度岛礁附近波浪非线性特征参数的变化规律进行探讨,主要结论为:
1)当规则波传播至第一礁坪浅水区后,波峰变得尖陡,波谷变得平坦,波面呈现类似椭圆余弦波的形态。波浪在礁坪台阶附近发生浅化变形达到极限,波幅显著增加,波峰前沿面变得陡立且前后逐渐变得不对称。在第二礁坪上波浪发生破碎,波能从主波频向高频转移,重新生成行进波,出现明显的次波峰。
2)波浪由远海端传播至礁缘附近的过程中,由于发生浅化变形产生高次约束谐波,使得波面沿水平轴方向和垂直轴方向变得不对称。波浪偏度、不对称度和厄塞尔数峰值的幅值在礁坪台阶附近均达到最大值,随后在第二礁坪上迅速减小,波面在关于水平轴方向和垂直轴方向逐渐趋近于对称。3个非线性特征参数幅值整体上均随入射波高和波周期的增大而增大,随礁坪水深增大而减小。
3)入射波浪的非线性越强,不对称度和偏度也相应增加。随着厄塞尔数的不断增加,波浪偏度呈正相关趋势逐渐增大,不对称度则呈负相关趋势逐渐减小。差异坡度礁坪上的波浪偏度和不对称度与当地的厄塞尔数存在一定相关性,据此本研究提出了一组适用于差异坡度礁坪上波浪偏度和不对称度参数的经验公式。
本研究在一定程度上丰富了复杂珊瑚礁海岸的水动力理论,并为进一步研究珊瑚礁附近海域的生态环境保护和海岸演变机理奠定基础。然而,本文仅探讨了波浪要素变化影响下差异坡度岛礁附近波浪非线性特征参数的变化规律,未来可进一步研究岛礁地形变化对波浪非线性的影响。
Cheriton O M, Storlazzi C D, and Rosenberger K J. 2016. Observations of Wave Transformation over a Fringing Coral Reef and the Importance of Low‐Frequency Waves and Offshore Water Levels to Runup, Overwash, and Coastal Flooding. Journal of Geophysical Research: Oceans, 121(5): 3121-3140.

曹广颂,朱首贤,张文静,聂屿. 2020. 南沙群岛礁概化地形上拍岸浪数值模拟与统计分析. 海洋学报,42(1):9.

Cao Guangsong, Zhu Shouxian, Zhang Wenjing, and Nie Yu. 2020. Numerical Simulations and Statistical Analysis of Surf on the Generalized Topography of the Nansha Islands. Haiyang Xuebao, 42(1): 9.

陈洪洲,毕春伟,高俊亮. 2018. 波浪在珊瑚岸礁礁坪上传播变形的数值研究. 水科学进展,29(2):252-259.

Chen Hongzhou, Bi Chunwei, and Gao Junliang. 2018. Numerical Study of Wave Transformation over Fringing Reef Flat. Advances in Water Science, 29(2): 252-259.

陈韶阳,肖利,刘娜,龚彦维,肖云. 2022. 可持续发展视角下的南海岛礁评估分类. 热带地理,42(7):1039-1049.

Chen Shaoyang, Xiao Li, Liu Na, Gong Yanwei, and Xiao Yun. 2022. Classification Assessment of Islands and Reefs in the South China Sea from the Perspective of Sustainable Development. Tropical Geography, 42(7): 1039-1049.

Gelfenbaum G, Apotsos A, Stevens A W, and Jaffe B. 2011. Effects of Fringing Reefs on Tsunami Inundation: American Samoa. Earth-Science Reviews, 107(1/2): 12-22.

Gourlay M R. 1996. Wave Set-Up on Coral Reefs. 2. Set-Up on Reefs with Various Profiles. Coastal Engineering, 28(1/4): 17-55.

Hardy T A and Young I R. 1996. Field Study of Wave Attenuation on an Offshore Coral Reef. Journal of Geophysical Research: Oceans, 101(C6): 14311-14326.

Harris D L, Vila-Concejo A, Webster J M, and Power H E. 2015. Spatial Variations in Wave Transformation and Sediment Entrainment on a Coral Reef Sand Apron. Marine Geology, 363: 220-229.

Lowe R J, Buckley M L, Altomare C, Rijnsdorp D P, Yao Y, Suzuki T, and Bricker J D. 2019. Numerical Simulations of Surf Zone Wave Dynamics Using Smoothed Particle Hydrodynamics. Ocean Modelling, 144: 101481.

Lugo-Fernández A, Hernández-Ávila M L, and Roberts H H. 1994. Wave-Energy Distribution and Hurricane Effects on Margarita Reef, Southwestern Puerto Rico. Coral Reefs, 13: 21-32.

梅弢,高峰. 2013. 波浪在珊瑚礁坪上传播的水槽试验研究. 水道港口,34(1):13-18.

Mei Tao and Gao Feng. 2013. Flume Experiment Research on Law of Wave Propagation in Reef Flat. Journal of Waterway and Harbor, 34(1): 13-18.

Nwogu O and Demirbilek Z. 2010. Infragravity Wave Motions and Runup over Shallow Fringing Reefs. Journal of Waterway, Port, Coastal, and Ocean Engineering, 136(6): 295-305.

Qu K, Wang X, Yao Y, Men J, and Gao R Z. 2024. Numerical Investigation of Infragravity Wave Hydrodynamics at Fringing Reef with a Permeable Layer. Continental Shelf Research, 275: 105212.

王旭,屈科,门佳. 2024. 人工采砂坑对规则波岸礁水动力特性的影响研究. 海洋通报,43(1):69-85.

Wang Xu, Qu Ke, and Men Jia. 2024. Study on the Effects of Artificial Excavation Pits on the Hydrodynamic Characteristics of Regular Wave over Fringing Reef. Marine Science Bulletin, 43(1): 69-85.

Young I R. 1989. Wave Transformation over Coral Reefs. Journal of Geophysical Research: Oceans, 94(C7): 9779-9789.

姚宇. 2019. 珊瑚礁海岸水动力学问题研究综述. 水科学进展,30(1):139-152.

Yao Yu. 2019. A Review of the Coral Reef Hydrodynamics. Advances in Water Science, 30(1): 139-152.

朱干城,任冰,王永学,邱大洪. 2019. 直墙结构物对台礁礁坪上规则波传播特性的影响. 中国科学:技术科学,49(8):919-929.

Zhu Gancheng, Ren Bing, Wang Yongxue, and Qiu Dahong. 2019. The Influence of Vertical-Wall Structure on Monochromatic Wave Transformation Characteristics over the Platform Reef. SCIENTIA SINICA Technologica, 49(8): 919-929.

Outlines

/