Spatial Differentiation Characteristics of Tomb Robbery and Vulnerability Zone Identification: A Multi-Source Data Analysis Based on City B

  • Yiming Zhai , 1, 2 ,
  • Ning Ding , 3 ,
  • Yang Liu 4
Expand
  • 1. School of Policing Studies, Shanghai University of Political Science and Law, Shanghai 201701, China
  • 2. School of Law, Nanjing University, Nanjing, 210093
  • 3. Public Security Behavioral Science Lab, People's Public Security University of China, Beijing 100038, China
  • 4. China Heritage Crime Information Center, Xi' an 710018, China

Received date: 2024-11-26

  Revised date: 2025-03-15

  Online published: 2025-10-31

Abstract

Tomb robbery poses a severe threat to cultural heritage preservation, necessitating precise prevention strategies adaptable to grassroots grid-based governance. This study examines the spatial differentiation characteristics and influencing factors of tomb robbery in City B. Using 150 crime records (2011–2019) from the China Heritage Crime Information Center, it aims to identify vulnerable localities for targeted control. The "township" served as the basic analytical unit, aligning with grassroots local administrative and policing units in China. At this scale, we integrated multi-source data including demographic/economic statistics, points of interest, and transportation networks. Methodologically, spatial patterns were first identified using kernel density estimation (KDE) and Standard Deviational Ellipse (SDE) analysis. Subsequently, to build a vulnerability assessment model, we tested several machine learning classifiers (Random Forest, XGBoost, CatBoost) predicting crime occurrence (binary: 0=no crime, 1=crime occurred) based on theoretically derived environmental, guardianship, and population indicators. XGBoost demonstrated superior performance (Accuracy ≈ 75.83%, AUC ≈ 80.02%) and informed the selection of eight key factors. Critically, we improved the traditional Vulnerable Localities Index (VLI) method by employing Shapley Additive exPlanations (SHAP) analysis on the trained XGBoost model to objectively derive data-driven weights (contributions) for these factors, replacing subjective expert scoring. The results highlight distinct spatial patterns and dynamics: (1) Tomb robbery crimes display a "broad coverage, local concentration" pattern. While 41.8% of the 122 townships recorded incidents, high-frequency townships (≥2 incidents) constituted nearly 20%, concentrated in relic-rich central/eastern regions. SDE analysis confirmed a strong spatial association between the overall crime distribution and the concentration of both national and provincial Key Protected Heritage Sites (KPSs), particularly aligning with provincial KPSs. (2) A multi-scale target selection strategy emerged: Macro-level KDE hotspots are spatially adjacent to dense clusters of KPSs. However, micro-level SHAP interpretation reveals criminals tend to bypass the well-protected core areas of these KPSs, shifting instead towards selecting more vulnerable, less-monitored targets situated in surrounding fields, reflecting rational risk-reward assessment. (3) SHAP quantified key factor impacts, identifying significant inhibitors and facilitators of crime: low population density, geographical remoteness (evidenced by negative contributions from total road length and railway presence), and low economic activity (negative from per capita industrial output) are associated with higher vulnerability, aligning with reduced guardianship. Water bodies significantly inhibit crime, likely by restricting accessibility. Conversely, farmland/forest influence was indistinct. Notably, the geographical distribution of public security authorities and cultural heritage administrations showed negligible impact on location selection at the township scale. Building upon these SHAP-derived weights, the study generated a township-level graded Prevention and Control Vulnerability Map, classified into five distinct levels using the Jenks natural breaks method. This map provides actionable intelligence directly serving grid-based governance. It offers scientific support for implementing tiered responses and dynamic adjustments based on vulnerability levels, facilitating differentiated resource allocation: prioritizing enhanced monitoring in high-vulnerability zones while maintaining standard protocols elsewhere. This data-driven framework aims to enhance the overall efficiency of regional cultural heritage protection, extending crime geography applications to rural heritage crime and offering empirical insights for optimizing policing and heritage management strategies.

Cite this article

Yiming Zhai , Ning Ding , Yang Liu . Spatial Differentiation Characteristics of Tomb Robbery and Vulnerability Zone Identification: A Multi-Source Data Analysis Based on City B[J]. Tropical Geography, 2025 : 1 -13 . DOI: 10.13284/j.cnki.rddl.20240769

文物作为历史与文化的见证,是传承文明、发掘传统文化的重要载体,其安全保护关系到社会记忆的延续和文化遗产的永续发展。然而,文物犯罪问题日益突出,形势依然严峻。仅2023年,全国侦破各类文物犯罪案件1 070余起,追缴涉案文物1.3万余件(公安部,2024)。在文物犯罪的诸多类型中,盗掘古墓葬犯罪尤为严重。据统计,中国近几十年被盗掘的古墓数量已超过20万座,其中王侯级墓葬的被盗率高达90%以上(王政勋,2022)。该问题的形成与中国殡葬文化的历史传统及墓葬自身的经济价值密切相关。在中国古代,墓葬的规模与随葬品的丰厚程度受到社会经济状况的影响,但并非所有墓葬都具有高价值。考古学研究表明,不同历史时期和社会阶层的墓葬在随葬品种类和数量上存在显著差异(秦岭,2015)。盗掘犯罪往往并非随机发生,而是基于犯罪人对墓葬价值的在地知识选择性地进行目标筛选。因此,盗掘古墓葬犯罪的高发不仅与殡葬文化有关,更受制于犯罪人的利益驱动和墓葬价值的分布特点。
古墓葬一般指人类古代采取一定方式对死者进行埋葬的遗迹,包括墓穴(墓室)、葬具、随葬器物和墓地(李晓东,2005)。关于盗掘古墓葬犯罪研究,国外主要从定性和定量2方面展开探讨。如有学者对该类犯罪的基本特征进行定性概述(Charney, 2016),也有研究从犯罪的时间(Zhai et al., 2023)和空间(Ding et al., 2023)分布规律入手,揭示其动态特征。而国内研究多聚焦于该犯罪的法律界定(薛瑞麟,2003)、司法适用(魏桐轩 等,2024)及侦查打击策略(徐雨萌,2019)等方面。在定量研究领域,近年来犯罪地理学方法被逐步应用于盗掘文物犯罪的空间格局、作案模式及影响因素分析(兰利 等,2024a2024b)。
盗掘古墓葬犯罪具有隐蔽性强、犯罪周期长的特点,传统的事后侦查模式难以实现有效遏制。在此背景下,犯罪地理学的相关理论和方法为理解该类犯罪的空间模式提供了新视角。然而,现有研究仍存在一定局限性。从研究对象看,国内犯罪地理学研究多集中于城市犯罪,如扒窃(陈鹏 等,2015a)、街头犯罪(龙冬平 等,2022)和抢劫犯罪(徐冲 等,2013)等,而对农村地区的犯罪研究相对薄弱(姜超 等,2014)。从犯罪类型看,现有研究主要关注传统犯罪类型,如基于理性选择理论的入室盗窃分析(肖露子 等,2017)、职业足球比赛期间球场周边扒窃犯罪的空间特征(陈鹏 等,2022)及“两抢两盗”犯罪的空间分布(刘大千 等,2014)。相比之下,盗掘古墓葬犯罪既非城市犯罪,也非传统犯罪类型,学界对其关注度较低,但其社会危害性显著,亟需在理论和实践层面进行深入研究,为犯罪预防提供科学依据。
基于此,本文利用2011—2019年B市的盗掘古墓葬犯罪数据,结合核密度估计方法分析该类犯罪的空间分异特征,并借助SHAP可解释机器学习技术改进区域脆弱性指数方法,对B市盗掘古墓葬犯罪的防控脆弱性区域进行识别。旨在优化基层文物保护资源配置,以支撑实践中的文物犯罪防控工作。

1 研究综述

1.1 盗掘古墓葬犯罪

古墓葬属于不可移动文物(李晓东,2005)。不可移动文物与可移动文物在保护方式上有所不同,已经出土的可移动文物可以转移到博物馆进行保护,而像古墓葬这种不可移动文物一般通过建立文物保护单位的方式在原地保护。然而,被上述2种方式保护起来的文物只占少数,还有大量的文物仍散落在农村地区的田野,尚未得到保护(Grove et al., 2018),这些在实务中一般被称为“田野文物”。据第三次全国不可移动文物普查显示,中国有83.3%的不可移动文物散落在县(区)以下的农村地区或广袤的乡野间。通常情况下,农村田野文物具有以下特征:1)文物的级别不足以建立专门的保护机构或还尚未被官方发现;2)数量庞大;3)通常散落在树林、田地等户外田野中。以上3个特点使这些散落在田野中的文物成为文物犯罪分子的主要目标,同时也成为文物保护工作的难点。从犯罪分子的角度出发,选择犯罪目标的过程可概括为2步,第一步是古墓葬“有无”的判断。中国古代墓葬的选址不仅受传统堪舆文化的影响,还与土地制度、家族传承等多种因素紧密相关。以秦汉时期为例,帝王陵墓常选址于地势较高的黄土台塬,如西汉十一帝陵分布于咸阳原。这些陵墓通过夯土筑成,形成明显的视觉制高点,其选址既要符合礼制要求,也考虑到陵邑建设所需的地理空间(徐为民,2017)。此外,未被纳入文物保护体系的田野墓葬,通常也存在可辨识的地表标识,如封土或墓碑等,这些显著的地理特征为盗墓分子提供了空间线索。随着现代科技的进步,盗墓活动还呈现高度技术化特征。犯罪分子开始运用卫星遥感、金属探测等现代科技手段,以提高寻找犯罪目标的精准性和效率(徐雨萌,2019)。
在有古墓葬的前提下,还需进行第二步判断:该古墓葬作为犯罪目标是否“合适”。首先,由于确定墓葬位置难度高,犯罪前的“踩点”时间相较而言也会更长,同时对古墓葬的挖掘一般也需数天,犯罪的持续性意味着更高的犯罪风险。因此,作案地点是否“安全”是考虑的首要因素,如在地理上是否远离当地的文物管理部门。其次,是犯罪目标周边的交通情况,多数被选为犯罪目标的古墓葬位于农村,低可达性不利于犯罪人携带作案工具,运输被盗文物,以及逃离犯罪现场。最后,还要考虑犯罪地点的安全防护情况。为保护珍贵文物,国务院自1961年起陆续公布了8批共5 058处全国重点文物保护单位(以下简称“国保单位”),此外,各省还公布了省级文物保护单位(以下简称“省保单位”)。被列为保护单位的不可移动文物一般价值相对较高,但同时也意味着较高的安全防护等级,犯罪成功率较低。本文从犯罪地理学的角度,探讨盗掘古墓葬的犯罪分子在选择犯罪目标时,主要受到哪些因素的影响。

1.2 理论基础

犯罪地理学的研究重点在于罪犯和受害人在空间上的行为以及空间环境如何影响罪犯和受害人(Chainey & Ratcliffe, 2005)。与传统犯罪学理论注重分析犯罪的成因不同(Felson, 2006),犯罪地理学更多关注在特定空间环境中,哪些因素使某一目标更容易成为犯罪对象(Felson & Boba, 2010)。在该视角下,城市环境与农村环境的差异显著,城市地区通常着眼于功能布局如何影响犯罪的发生,并通过优化建筑设计、合理配置基础设施等手段预防犯罪。与此不同,农村地区的空间更为开阔,建筑稀疏,政府基础设施较少,使得与城市环境的犯罪预防措施存在较大差异。在农村,无法完全依靠“设计以预防犯罪”策略,较为可行的方式是分析空间环境的犯罪模式,评估犯罪风险等级,从而为资源(主要是人力资源)的配置提供决策依据。
基于此,为深入分析盗掘古墓葬犯罪的空间分布规律,本文构建了以犯罪地理学中的日常活动理论(Routine Activity Theory)(Cohen & Felson, 1979)和理性选择理论(Rational Choice Theory)(Cornish & Clarke, 1987; Scott, 2017)为基础的分析框架。日常活动理论由Cohen和Felson在1979年提出,后经过Brantingham等(1995)的进一步发展,已受到犯罪学学者的广泛关注,并在全球范围得到验证(Ding & Zhai, 2021)。该理论认为,犯罪的发生需要3个要素的聚合:一是有犯罪动机的行为人(a motivated offender),二是合适的目标(a suitable target),三是缺乏有效监管的环境(the absence of capable guardians)(Cohen & Felson, 1979)。依据该原理,盗掘古墓葬犯罪可描述为“在特定的古墓葬空间环境中,犯罪嫌疑人选择防护脆弱的区域进行非法盗掘”。因此,本研究将影响盗掘古墓葬犯罪发生的相关因素归纳为防范措施、环境和人员3方面,构建犯罪影响的指标体系(Drawve et al., 2014)。
理性选择理论为日常活动理论提供了行为决策基础,解释了为何犯罪者会选择特定目标与时机实施犯罪。该理论认为,犯罪人是理性的,在决定是否实施犯罪前会对风险与收益进行权衡。这种理性思考不仅受犯罪人的年龄、动机、智力等内在因素的影响(Snook et al., 2005; Long & Liu, 2022),还受犯罪地点空间环境特征等外部因素的制约(Clare et al., 2009)。在该理论框架下,预谋从事盗掘古墓葬犯罪的潜在犯罪人会根据犯罪地点的风险和可能获得的收益进行权衡选择。本研究结合日常活动理论与理性选择理论,从多个维度解析盗掘古墓葬犯罪行为的发生机制。

2 研究设计

2.1 研究区域

研究区B市(图1)为中国西北地区的内陆城市,根据“天地图”平台公布的B市“乡镇政区要素服务地图”显示,B市行政区域总面积约为1.8万km2,下辖12个区县共165个乡镇。2023年B市常住人口约330万,地区生产总值约2 600亿元,年增长率约3.3%。交通方面,B市是重要的铁路交通枢纽,有5条国家级、1条省级铁路运输线路。B市历史文化古迹众多,据统计,B市有28处国保单位,103处省保单位(见图1),文物类犯罪也因此相对多发。自然环境方面,B市整体呈现为农田和森林2种土地覆盖类型,农田主要位于中部、东部以及西北部,其余区域以森林为主
图1 研究区域概况

注:应数据提供单位的要求,图中未显示研究区域名称及指北针,下同。

Fig.1 Overview of the study area

2.2 数据来源

本研究的犯罪数据源自全国文物犯罪信息中心,涵盖了B市2011—2019年的150起盗掘古墓葬犯罪案例。为构建稳健的分析模型,本研究在时空单元的处理上进行了如下设计:在空间维度上,选取“乡镇”为基本分析单元。此决策主要考量到乡镇行政区划与公安派出所管辖范围在中国基层治理结构中的高度重合性,从而确保结论能有效对接一线犯罪防控实践,据此,每个犯罪案例的地理信息都被解析至乡镇这一空间尺度。在时间维度上,鉴于此类犯罪年度发生率较低,为规避数据稀疏性可能引发的统计偏差(Gorr et al., 2003),本研究将9年的犯罪数据合并为一个整体进行分析。与此相应,为消解与社会经济数据间的时空错配问题,所有辅助变量的时间基点均被统一校准至中间年份2015年。该类犯罪所固有的显著空间聚集特征,能在很大程度上缓释此种时间基准点设定可能带来的潜在误差。
本研究的解释变量体系由社会经济数据与多源空间数据构成。其中,B市各乡镇2015年的社会经济指标引自《中国县域统计年鉴(乡镇卷)2016》(中华人民共和国国家统计局,2017)。空间数据包括交通路网、兴趣点(Point of Interest, POI)及关键的文物保护单位。交通路网数据获取自全国地理资源目录服务系统发布的“1∶100万公众版基础地理信息数据”。区县级政府、文物局及公安机关等POI的地理位置信息源自高德地图 1。而作为本研究核心变量的文物保护单位空间数据,其生成过程为:首先分别从国家文物局 2和B市所属省份的文物局官方网站获取国家级与省级保护单位名录,再调用高德地图API对该名录完成地理编码,以生成精确的坐标点。

2.3 研究方法

本研究框架如图2所示。首先,对盗掘古墓葬犯罪的相关数据进行描述性分析及核密度估计,结合分析结果及犯罪地理学相关理论建立盗掘古墓葬犯罪的影响指标体系。其次,使用多种机器学习分类模型对影响因素进行训练,获取效果最优的影响因素组合,并应用SHAP可解释模型分析各影响因素的贡献度。最后,以各因素的贡献度确定权重,改进脆弱性区域指数方法,建立盗掘古墓葬犯罪的风险地图,对B市的防控脆弱区进行识别。
图2 研究框架

Fig.2 Research framework

2.3.1 核密度估计

核密度估计广泛应用于犯罪分析领域,是一种用于估计空间数据分布密度的非参数统计方法(付逸飞,2021),可有效分析盗掘古墓葬犯罪的空间集聚。估计位置 x处的犯罪密度值的公式为:
f x = 1 n h d i = 1 n K ( x - x i h )
式中: n表示样本中犯罪地点的总数; h为带宽,用于控制核函数的平滑程度; d表示数据的维度; x i是第 i个犯罪地点的位置, x - x i表示位置 x到犯罪地点 x i的距离; K x - x i h是核函数,用于计算位置 x与犯罪地点 x i之间的权重贡献。核密度估计通过对每个犯罪地点的贡献进行加权求和,生成位置 x处的密度值,带宽 h的选择直接影响密度估计的平滑性或精细度。

2.3.2 基于SHAP改进的防控脆弱区识别及可视化方法

在犯罪防控领域,识别和分析脆弱区域对于有效分配警务资源和制定针对性政策至关重要。传统的脆弱性区域指数(Vulnerable Localities Index, VLI)通过对一系列区域统计指标(如犯罪率、收入水平、失业率等)进行加权求和,得出综合指数,评估该区域的脆弱性,常被用于识别区域的高风险区域。该方法最初用于分析社区的社会凝聚力和骚乱活动的发生(Chainey, 2008),并逐步扩展到其他领域,如资源分配和犯罪预测(Chainey, 2013)。然而,传统的VLI方法依赖专家打分和加权平均,容易受到专家经验、个人偏好以及认知偏差的影响,难以在复杂和动态的环境下提供准确评估。
为解决传统脆弱性区域指数(VLI)方法在确定指标权重时依赖专家经验、主观性强的问题,本研究提出了一种改进方法。该方法引入SHAP(Shapley Additive exPlanations)可解释机器学习模型,旨在以数据驱动的方式客观地评估各影响因素的贡献度,从而替代传统的主观赋权,提升脆弱性识别结果的精准度与可靠性。SHAP方法基于合作博弈论,其核心原理是为每个特征(即影响因素)计算一个Shapley值(Roth, 1988)。该值并非简单衡量特征的独立作用,而是通过评估该特征在所有可能的特征组合中的平均边际贡献来确定,从而精确量化其对模型最终预测结果的影响力(刘媛 等,2025)。这种归因分析方法保证了权重分配的公平性与模型的透明度。每个特征的Shapley值具体通过以下表达式计算:
      i v = S N { i } | S | ! ( n - S - 1 ) ! n ! [ v S i -               v S ]
式中: i v表示每个特征 i对于模型输出的Shapley值(即该特征对预测结果的贡献); S表示特征集合 S的一个子集,包含用于预测的特征; N是所有特征的集合,即包含所有输入特征的集合; n是特征的总数量; v ( S )表示在特征子集 S下,模型的预测结果; S ! n - S - 1 ! n !是加权系数,用于根据子集的大小进行加权,确保每个子集对贡献值的影响与其大小相匹配; v S { i } - v ( S )表示将特征 i加入子集 S后,预测结果的变化,即特征 i对最终预测值的增量贡献。
SHAP值的计算过程主要包括:
1)选取特征子集:对于指定样本,首先确定该样本的所有特征的不同子集,包括空子集和全特征子集;
2)评估各子集的条件贡献:对于各个特征子集,计算在该子集存在的条件下,每个特征对模型预测结果的贡献。这一步通常需对模型做多次预测,每次预测都在去掉或添加1个特征的情况下进行;
3)计算Shapley值:利用合作博弈论的Shapley值计算公式,将每个特征在所有潜在子集中的条件贡献做加权平均,以得到该特征的Shapley值;
4)解释模型输出:每个特征的Shapley值表示该特征对于特定样本预测结果的相对影响,其中正值表示特征对模型预测结果的增加作用,负值表示减少作用,这有助于解释特征对于模型预测结果的贡献方向。
最后,本研究以SHAP计算的贡献度为权重,绘制防控脆弱区地图。这一可视化方法借鉴了传统犯罪制图(Santos, 2017)识别热点的理念,但其核心是一种前瞻性的风险预测。传统犯罪制图主要依赖历史案件数据,其作用在于回溯性地识别“已然”的犯罪热点。相比之下,本研究提出的框架通过整合环境、人口等多源社会经济数据,并借助机器学习客观赋权,旨在识别那些“未然”的——即尚未发生过犯罪但风险极高的潜在脆弱区域。因此,该框架不仅评估维度更为全面,而且在实际应用中具备动态预警的潜力。当社会统计数据更新时,脆弱性等级即可相应调整,从而在实践工作中展现出显著的时效性优势。

3 结果分析

3.1 描述性分析

时间尺度上,2011—2019年,B市盗掘古墓葬犯罪数量呈倒“U”型演变趋势,2015年案件量达到峰值(26件),随后持续回落。空间尺度上,全市122个乡镇中,41.8%的乡镇存在盗掘古墓葬犯罪记录,其中发案2次及以上的乡镇接近20%。单个乡镇的历史案件数量最多为25件,反映犯罪空间分布的“广域覆盖、局部集聚”特征。
盗掘犯罪的发生以古墓葬资源的存在为前提,文物保护单位的数量可作为一个重要的判别指标。实证数据显示,B市现有28处国家级文物保护单位(国保),另有103处省级文物保护单位(省保),占全省文物保护单位总数的约1/10。具体到乡镇层面,12%的乡镇拥有国家级文保单位,接近50%的乡镇拥有省级文保单位,表明B市属于文物资源丰富的城市。
根据国家文物局印发的《全国重点文物保护单位申报遴选规定》,申报全国重点文物保护单位的文物,应当具有重大的历史、艺术、科学价值和突出的社会、文化意义(国家文物局文物保护与考古司,2021)。这意味着,获评单位及其周边区域更可能拥有价值更高、数量更多的文物,进而成为盗掘古墓葬犯罪的潜在目标。为验证这一规律,本文构建了B市盗掘古墓葬犯罪、国保单位和省保单位的标准差椭圆(图3)。可知,3组椭圆均集中在中部和东部地区,呈现东西向分布。犯罪的标准差椭圆与省级文保单位的分布较为接近,国家级文保单位的标准差椭圆最小,表明其分布范围相对较小。犯罪的标准差椭圆的最右侧与国家级文保单位位置相近,最左侧与省级文保单位位置相近,因而盗掘古墓葬犯罪可能受到国家级和省级文保单位的共同影响。
图3 文物保护单位及犯罪地点的标准差椭圆

Fig.3 Standard deviation ellipse of cultural heritage protection units and crime locations

3.2 犯罪热点分析

B市盗掘古墓葬犯罪的核密度分析结果(图4)显示,全市共形成了6处明显的犯罪集聚区域。这些热点的空间分布并非随机,而是与区域内的社会及自然环境特征紧密相关。通过对这些热点区域的共同特征进行分析,有助于理解犯罪分子在作案选址上的宏观空间偏好。
图4 盗掘古墓葬犯罪的核密度估计

图注:1—6表示B市的6处犯罪热点。

Fig.4 Kernel density estimation of tomb robbery crimes

首先,犯罪热点的形成与文物资源的集中分布存在直接关联。盗掘古墓葬犯罪以获取有价值的文物为目的,因此,文物遗存丰富的地区自然成为犯罪分子的首选目标。这一点在热点1、2、6上表现得尤为突出。如密度最高的热点1区域内,分布有7处全国重点文物保护单位和10处省级文物保护单位;热点6所在的中心城区,拥有6处国保单位和17处省保单位;热点2同样也是文物资源丰富的区域。这些区域文保单位密集,表明地下文物储量可能较大,对犯罪分子构成强烈吸引。
其次,宏观层面官方监管力量的空间布局与犯罪热点之间并非呈现简单的空间对应关系。在文物富集的热点1、2、3、5、6,公安机关与文物局通常就近设立,或处在热点中心,或位于其边缘。这说明犯罪活动并非只发生在无人监管的地带,犯罪分子也会在有一定监管力量的区域内,寻找巡查的薄弱环节或监控的盲区进行作案。与之形成鲜明对比的是热点4,该区域位于B市最西侧的两省交界处,远离市级的公安与文物管理机构,且其涉及的2个镇仅由一个位置偏远的派出所管辖,形成了监管力量难以有效覆盖的区域,极大地降低了犯罪分子的作案风险。
最后,交通条件与自然环境也为犯罪的实施提供了便利。在6处热点中,有5处(热点2、3、4、5、6)均有铁路经过,这为犯罪分子的人员流动、工具运输和文物转移提供了潜在的通道。而在自然环境方面,所有热点的土地覆盖类型均以农田和森林为主。广阔的农田为盗掘古墓葬活动提供了作业空间,而周边分布的森林可为犯罪行为提供天然的掩护,增加被发现的难度。
综上所述,盗掘古墓葬犯罪的发生机理较为复杂。犯罪热点的形成,是文物资源的分布、官方监管力量的强弱、交通网络的可达性以及自然环境的隐蔽性等多种因素在空间上相互交织作用的结果。犯罪分子在权衡潜在收益与风险后,对作案地点进行理性选择。

3.3 基于SHAP-VLI的防控脆弱区识别分析

以犯罪热点为基本单位进行犯罪防控不符合实践,基本防控网格的设置应与作为社会安全防控主要力量的派出所辖区对应,即以乡镇作为基本单元。因而,本文的防控脆弱区识别以乡镇为基本单元,便于在实践中推广。

3.3.1 影响指标构建

结合日常活动理论与前述热点分析结果,本文构建了涵盖环境、防范措施和人员3个维度的影响指标体系(表1)。其中,“环境”维度旨在衡量空间条件是否有助于犯罪者接触犯罪目标。该维度包含4个层面:首先,通过农田、森林和水域面积量化土地覆盖类型(Yang & Huang, 2024);其次,以国家级和省级文物保护单位的总数衡量犯罪目标的吸引力;再次,通过交通网络评估可达性,考虑到此类犯罪常需使用车辆且犯罪热点多沿铁路分布,故将区域公路与铁路总长度均纳入考量(Du & Law, 2016);最后,鉴于乡镇级经济数据的缺失,采用“人均工业产值”作为经济背景的代理指标(国家统计局农村社会经济调查司,2017)。“防范措施”维度通过区域内公安机关和文物局的数量衡量正式监管力度。“人员”维度用以表征非正式监管的强度。由于缺乏治安(陈鹏 等,2015b)、教育等更直接的乡镇级指标,本研究采用人口密度作为代理变量。通常,人口密度较低的区域,“邻里守望”等非正式监控能力也相应较弱。
表 1 盗掘古墓葬犯罪的影响指标体系

Table 1 Influencing factors of tomb robbery crimes

维度 层面 指标
环境 土地覆盖类型 农田面积、森林面积、水域面积
文保单位 文保单位数量
交通 区域内公路总长、是否有铁路经过
经济 人均工业产值
防范措施 公安机关 公安机关数量
文物局 文物局数量
人员 人口 人口密度
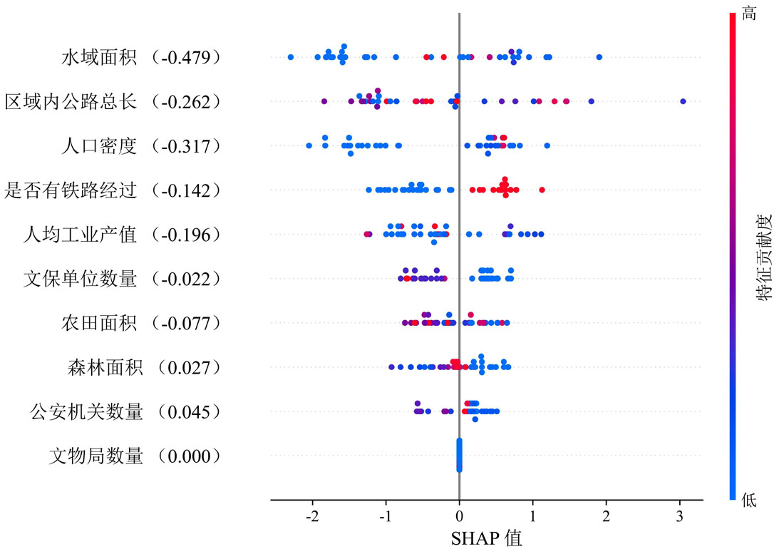
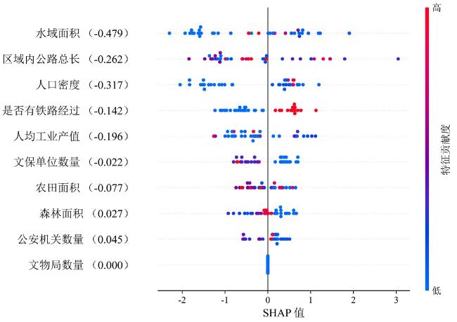
为量化各影响指标的贡献度,本研究将指标体系导入SHAP可解释模型。其分析结果(图5)不仅揭示了各指标对“发生犯罪”(标签=1)这一结果的影响方向与强度,也为从犯罪学理论视角解读盗掘古墓葬犯罪的选址决策提供了实证基础。模型结果显示,水域面积(-0.479)、人口密度(-0.317)、公路总长度(-0.262)以及人均工业产值(-0.196)均对犯罪发生呈现显著的负向贡献。这与日常活动理论的核心观点高度契合:人口稀少、交通不便且经济相对落后的偏远区域,由于缺乏有效的社会监护——无论是正式的警力覆盖还是非正式的“邻里守望”——从而为潜在犯罪者提供了更多的“机会窗口”(Cohen & Felson, 1979)。从理性选择理论的角度审视,这也反映犯罪者在决策过程中对风险的规避倾向,往往主动选择那些被发现概率较低的环境以提高犯罪成功率。
图5 SHAP模型总结及各要素贡献度

Fig.5 SHAP summary plot with feature contributions

值得注意的是,模型显示文保单位数量(-0.022)的影响力并不显著,这与宏观尺度上犯罪活动趋近于文保单位密集区的观察似乎存在矛盾(兰利 等,2024a)。然而,这一结果恰恰揭示了犯罪分子在不同空间尺度下复杂的“目标选择”逻辑。在宏观上,文保单位富集区因其高价值预期吸引犯罪分子前来;但在微观的作案点选择层面,这些已登记的文保单位因其“监护强化”而成为安防程度较高的防护性目标。因此,盗掘者会策略性地避开这些点,转而搜寻同一区域内那些未被纳入保护名录、更为脆弱的隐蔽墓葬作为“合适的目标”。这种“宏观趋近、微观规避”的尺度逻辑,同样适用于“是否有铁路经过”这一指标。
最后,用以衡量正式防范措施的公安机关(0.045)与文物局(0.000)数量,其贡献度几乎可忽略不计。这表明,在乡镇尺度上,官方机构的设置并未对犯罪分子的选址决策构成有效的威慑,这可能与基层监管力量难以对广阔的乡野地区实现全时空有效覆盖有关。综上,本研究的实证结果不仅为日常活动理论提供了支持,也从理性选择的视角,揭示了盗掘者在风险与收益间进行权衡,并利用环境特点优化其作案策略的决策过程。

3.3.2 指标权重计算

在SHAP贡献度分析结果的基础上,运用机器学习分类方法对数据进行训练,并根据预测效果优化影响因素的组合及其权重。首先,将乡镇内是否发生盗掘古墓葬犯罪作为模型的因变量,并基于以下因素确定分类阈值:在政策层面,按照国家对文物保护的要求,盗掘古墓葬犯罪案件数“<1”更符合文物安全防控目标;在实践层面,B市超过4成的乡镇从未发生过此类犯罪,将其划分为“0”和“1”两个类别更契合现实情况;在技术层面,标签为1的类别占比为58%,整体分布较为均衡,符合机器学习分类任务的基本要求。综上,本研究将分类标准设定为是否发生过盗掘古墓葬犯罪:未发生的乡镇标记为0,发生过的乡镇标记为1。
其次,将表1中10个指标作为特征并进行归一化,构建实验数据集。数据集按7∶3随机划分为训练集与测试集。选用Random Forest、XGBoost及CatBoost等机器学习分类器进行训练,模型性能通过十折交叉验证进行评估。为降低单次划分的随机性影响,最终报告的性能指标为10次重复实验的平均结果。
根据多重共线性检测结果和预测准确率对自变量的组合进行调整,最终得到模型的预测结果。由表2可知,模型预测效果最优的一组为XGBoost模型,准确率约为75.83%,AUC达到80.02%,其他各项数值均在70%以上,对应的自变量组合为:文保单位数量、区域内公路总长、区域内是否有铁路经过、人均工业产值、公安机关数量、人口密度、森林面积以及水体面积共8项,并以各自变量的SHAP值作为指标权重。
表 2 三组机器学习模型的分类预测结果 (%)

Table 2 Classification prediction results of four machine learning models

模型列表 准确率 精确率 召回率 F1得分 AUC
Random Forest 72.50 70.15 67.50 67.78 76.74
XGBoost 75.83 73.38 74.33 72.71 80.02
CatBoost 74.17 68.52 76.33 71.53 78.58

3.3.3 防控脆弱区的可视化分析

党的十八届三中全会首次提出要以网格化管理为方向,健全基层综合服务管理平台(新华社,2013)。党的二十大报告进一步强调:“完善网格化管理、精细化服务、信息化支撑的基层治理平台”(新华社,2022)。网格化基层治理模式在社会治理中发挥重要作用,并且相关的制度、人员、设备逐渐成熟。因此,本文选取“乡镇”作为基层网格单位开展盗掘古墓葬犯罪防控研究。
本文结合B市的8项影响因素及其SHAP贡献值,计算了各乡镇的脆弱性区域指数,并使用Jenks自然间断法将脆弱性指数划分为5个等级,形成防控脆弱区地图如图6-a所示。同时,将B市2011—2019年各乡镇盗掘古墓葬犯罪总量也使用Jenks方法进行5级划分,如图6-b所示。对比发现,在犯罪数量的分级地图中,大多数乡镇的等级为最低,而防控脆弱区分级地图中的低等级区域较少,显示防控脆弱区地图对风险的敏感性更强。此外,犯罪数量分级地图中,邻近乡镇的等级相似,呈现高等级乡镇连片分布的特点。在防控脆弱区分级地图中也有类似趋势,并且不同等级之间的过渡更平缓。
图 6 基于Jenks方法的分级地图

Fig.6 Hierarchical map based on the Jenks method

防控脆弱区地图整合了犯罪、文保单位、文物主管部门、交通、经济及人口等多项因素,其分级图能为犯罪预防和文物保护工作提供指导。针对脆弱性较高的区域,即使历史上未发生盗掘古墓葬犯罪,也应采取更严格的防范措施;而脆弱性较低的乡镇则可采取常规防范措施。市级公安机关和文物主管部门应定期更新各乡镇的社会统计数据,根据最新的防控脆弱区地图,动态调整各乡镇的防范等级,从而提升文物保护资源的利用效率。

4 结论与讨论

本研究的核心理论贡献在于,基于对B市盗掘古墓葬犯罪内在规律的系统性揭示,构建了一个基于可解释机器学习的防控脆弱区识别模型。该模型的构建得益于对犯罪空间格局与犯罪地点选择2个层面的深入分析。首先,研究发现,在空间格局上,犯罪呈现“广域覆盖、局部集聚”的特征,其高频发区域与犯罪热点均高度集中于文物资源富集的中部和东部,与文保单位的密集分布表现出强烈的宏观关联性。然而,预测模型进一步揭示了更为复杂的“宏观趋近、微观规避”行为模式:即犯罪者在被文物富集区吸引后,会在具体作案时主动规避安防严密的文保单位,转而选择其周边人口密度低、交通不便、社会监护力量更为薄弱的偏远墓葬。此外,水体因限制可达性而显著抑制犯罪,而传统社会防范力量(如公安机关和文物局)的影响有限,这些发现共同为精准识别脆弱区域提供了关键的实证依据。
在实践层面,本研究的防控脆弱区识别方法可为基层犯罪防控提供3方面支持。首先,该方法通过动态整合乡镇级统计数据,突破了仅依赖历史犯罪数据的局限,能有效识别尚未发案但具有高脆弱性的田野墓葬区域,为基层资源的精准配置提供科学依据。其次,盗掘犯罪的空间分布存在明显的结构性失衡,当前安防投入长期集中于文保单位,而对田野墓葬区域的监管相对薄弱。基于脆弱性识别模型构建的分级地图揭示了高风险区域的空间格局,为优化巡防资源的投入方向提供了数据支撑。最后,本研究提出的模型深度契合网格化基层治理需求,可用于支撑“分级响应-动态调控”策略,根据脆弱性等级差异化配置防控资源,实现分层治理,提升文物安全治理的精准性与灵活性。
具体而言,高脆弱性区域应实行“一网一员”专职巡查机制,要求巡查员每周至少开展3次田野文物巡检,并结合无人机航拍、夜间红外监测等技术手段加强监管。同时,在重点风险点位布设AI视频监测设备,利用目标检测算法自动识别异常活动,并实时推送可疑情况至公安和文物管理部门,以触发即时响应机制。中等脆弱性区域可采取“多网一员”统筹管理模式,每周至少巡查1次,并依托智能巡检系统记录风险动态。若近3个月内监测到异常活动或存在可疑线索,可临时升级巡查频次,并增设流动监测设备,以提高区域安全防控能力。低脆弱性区域主要依靠远程监控,并结合社会共治机制,动员村民、网格员等基层力量参与线索收集,以补充巡查盲区,提高隐蔽盗掘行为的发现率。此外,本研究提出的脆弱性识别模型可作为基层治理的动态决策工具,通过构建GIS实时更新系统,在环境要素(如道路修建、人口流动)发生变化或案件发生后,自动调整脆弱性等级,并据此优化巡防策略。公安机关、文物管理部门与基层网格员可依托该系统实现信息共享,形成快速响应机制,从而提高案件预警与处置效率。
本研究从方法论层面拓展了犯罪地理学在文物保护领域的应用,其构建的防控脆弱区识别框架为基层治理提供了科学工具。尽管如此,本研究在数据与模型设定上仍存局限:乡镇级流动人口数据的缺失,以及历史犯罪数据与静态社会经济数据的时空错配,可能导致分析偏差;同时,一些地方性的文化因素(如风水)因难以量化而未能纳入模型。未来将致力于解决这些问题,如通过融合多时相遥感影像与社会感知数据来构建动态指标体系,并结合地方志、田野调查等质性方法深化对犯罪动因的理解。在对模型进行完善后,亦可将其分析框架拓展应用于其他类型的文物犯罪,以检验其适用性与稳健性。

1 https://lbs.amap.com/

2 http://www.ncha.gov.cn/col/col2262/index.html

Brantingham P L and Brantingham P J. 1995. Criminality of Place: Crime Generators and Crime Attractors. European Journal on Criminal Policy and Research, 13(3): 5-26.

Chainey S. 2008. Identifying Priority Neighbourhoods Using the Vulnerable Localities Index. Policing: A Journal of Policy and Practice, 2(2): 196-209.

Chainey S. 2013. Using the Vulnerable Localities Index to Identify Priority Areas for Targeting Fire Safety Services. Fire Safety Journal, 62: 30-36.

Chainey S and Ratcliffe J. 2005. GIS and Crime Mapping. Chichester: Wiley.

Charney N. 2016. Art Crime: Terrorists, Tomb Raiders, Forgers and Thieves. London: Palgrave Macmillan UK.

陈鹏,李欣,胡啸峰,曾昭龙,赵鹏凯. 2015a. 北京市长安街沿线的扒窃案件高发区分析及防控对策. 地理科学进展,34(10):1250-1258.

Chen Peng, Li Xin, Hu Xiaofeng, Zeng Zhaolong, and Zhao Pengkai. 2015a. Clustering Pattern Analysis and Prevention Strategies to Pickpocketing Offence Along the Chang'an Street in Beijing. Progress in Geography, 34(10): 1250-1258.

陈鹏,胡啸峰,张超. 2015b. 社区入室盗窃案件的风险评价模型研究. 中国人民公安大学学报(自然科学版),21(2):76-80.

Chen Peng, Hu Xiaofeng, and Zhang Chao. 2015b. Research on the Risk Assessment Model for Community Burglary Cases. Journal of People's Public Security University of China(Natural Science Edition), 21(2): 76-80.

陈鹏,Kurland Justin. 2022. 职业足球比赛期间球场周边扒窃犯罪的空间分布特征研究——以英国维拉球场为例. 世界地理研究,31(1):189-200.

Chen Peng and Kurland Justin. 2022. Analysis on Spatial Distribution of Pick-Pocketing Theft around Stadia During Football Match Days—A British Stadium Case Study. World Regional Studies, 31(1): 189-200.

Clare J, Fernandez J, and Morgan F. 2009. Formal Evaluation of the Impact of Barriers and Connectors on Residential Burglars' Macro-Level Offending Location Choices. Australian & New Zealand Journal of Criminology, 42(2): 139-158.

Cohen L E and Felson M. 1979. Social Change and Crime Rate Trends: A Routine Activity Approach. American Sociological Review, 44(4): 588-608.

Cornish D B and Clarke R V. 1987. Understanding Crime Displacement: An Application of Rational Choice Theory. Criminology, 25(4): 933-948.

Ding N and Zhai Y. 2021. Crime Prevention of Bus Pickpocketing in Beijing, China: Does Air Quality Affect Crime? Security Journal, 34(2): 262-277.

Ding N, Zhai Y, and Lv H. 2023. Crime Risk Analysis of Tangible Cultural Heritage in China from a Spatial Perspective. ISPRS International Journal of Geo-Information, 12(5): 201.

Drawve G, Thomas S A, and Walker J T. 2014. The Likelihood of Arrest: A Routine Activity Theory Approach. American Journal of Criminal Justice, 39(3): 450-470.

Du Y and Law J. 2016. How Do Vegetation Density and Transportation Network Density Affect Crime across an Urban Central-Peripheral Gradient? A Case Study in Kitchener—Waterloo, Ontario. ISPRS International Journal of Geo-Information, 5(7): 118.

Felson M. 2006. Crime and Nature. Thousand Oaks: SAGE Publications Inc.

Felson M and Boba R. 2010. Crime and Everyday Life. Thousand Oaks: SAGE Publications Inc.

付逸飞. 2021. 入户盗窃犯罪的时空分布热点及其机理研究——以A市CP区警情分析为例. 世界地理研究,30(5):1005-1014.

Fu Yifei. 2021. Study on the Temporal-Spatial Distribution Hot-Spots and Mechanisms in Burglary: Based on the Analysis of Policing Alert in City A District CP. World Regional Studies, 30(5): 1005-1014.

公安部. 2024. 全国公安机关打击文物犯罪战果丰硕成效显著. (2024-01-30)[2024-09-12]. https://www.gov.cn/lianbo/bumen/202401/content_6929069.htm.

The Ministry of Public Security of the People's Republic of China. 2024. National Public Security Organs Achieve Significant Results in Combating Cultural Relics Crimes. (2024-01-30) [2024-09-12]. https://www.gov.cn/lianbo/bumen/202401/content_6929069.htm.

Gorr W, Olligschlaeger A, and Thompson Y. 2003. Short-Term Forecasting of Crime. International Journal of Forecasting, 19(4): 579-594.

Grove L, Thomas S, and Daubney A. 2018. Fool's Gold? A Critical Assessment of Sources of Data on Heritage Crime. Disaster Prevention and Management: An International Journal, 29(1): 10-21.

国家统计局农村社会经济调查司. 2017. 中国县域统计年鉴2016(乡镇卷). 北京:中国统计出版社.

Department of Rural Social and Economic Investigation, National Bureau of Statistics. 2017. China County Statistical Yearbook 2016(Township Volume). Beijing: China Statistics Press.

国家文物局文物保护与考古司. 2021. 国家文物局关于印发《全国重点文物保护单位申报遴选规定》的通知. (2021-07-28)[2025-10-15]. http://www.ncha.gov.cn/art/2021/7/28/art_2237_44767.html.

Department of Heritage Preservation and Archaeology, National Cultural Heritage Administration. 2021. Notice of the National Cultural Heritage Administration on Issuing the "Provisions for the Application and Selection of National Key Cultural Relics Protection Units". (2021-07-28) [2025-10-15]. http://www.ncha.gov.cn/art/2021/7/28/art_2237_44767.html.

姜超,唐焕丽,柳林. 2014. 中国犯罪地理研究述评. 地理科学进展,33(4):561-573.

Jiang Chao, Tang Huanli, and Liu Lin. 2014. Review of Crime Geography in China. Progress in Geography, 33(4): 561-573.

兰利,李钢,李秉承,李佳,温小婷,王亚彤,王莺莺,闫强乐. 2024a. 中国盗掘文物犯罪的空间格局、作案模式及影响因素. 热带地理,44(10):1854-1868.

Lan Li, Li Gang, Li Bingcheng, Li Jia, Wen Xiaoting, Wang Yatong, Wang Yingying, and Yan Qiangle. 2024a. Spatial Distribution, Crime Patterns, and Factors Influencing Criminal Looting of Cultural Relics in China. Tropical Geography, 44(10): 1854-1868.

兰利,李钢,李秉承,温小婷,王紫琦,王亚彤. 2024b. 河南省盗掘文物犯罪的案件特征、空间格局与形成机制. 地理科学进展,43(11):2312-2326.

Lan Li, Li Gang, Li Bingcheng, Wen Xiaoting, Wang Ziqi, and Wang Yatong. 2024b. Case Characteristics, Spatial Pattern, and Formation Mechanism of Criminal Looting of Cultural Relics in Henan Province. Progress in Geography, 43(11): 2312-2326.

李晓东. 2005. 文物学. 北京:学苑出版社. [Li Xiaodong. 2005. Archaeology. Beijing: Xueyuan Press. ]

刘大千,宋伟,修春亮. 2014. 长春市“两抢两盗”犯罪的空间分析. 地理科学,34(11):1344-1352.

Liu Daqian, Song Wei, and Xiu Chunliang. 2014. Spatial Analysis on Robbery, Forcible Seizure, Vehicle Theft and Burglary in Changchun. Scientia Geographica Sinica, 34(11): 1344-1352.

刘媛,熊柴,蔡继明. 2025. 农民工进城落户的意愿为什么不高?——基于可解释机器学习方法的分析. 中国农村经济,(4):20-41. DOI: 10.20077/j.cnki.11-1262/f.2025.04.007.

Liu Yuan, Xiong Chai, and Cai Jiming, 2025. Why are Rural Migrant Workers Not Willing to Transfer Hukou to Cities? An Analysis Based on Interpretable Machine Learning Methods. Chinese Rural Economy, (4): 20-41. DOI: 10.20077/j.cnki.11-1262/f.2025.04.007

Long D and Liu L. 2022. Do Juvenile, Young Adult, and Adult Offenders Target Different Places in the Chinese Context? Cities, 130: 103943.

龙冬平,刘丹红,陈建国. 2022. ZG市街头抢劫者作案地选择及其影响因素研究. 地理研究,41(5):1422-1436.

Long Dongping, Liu Danhong, and Chen Jianguo. 2022. An Examination of Crime Location Choice of Street Robbers and Its Influencing Factors in ZG City. Geographical Research, 41(5): 1422-1436.

秦岭. 2015. 长江下游地区的史前聚落演变与早期文明//北京大学中国考古学研究中心. 聚落演变与早期文明. 北京:文物出版社.

Qin Ling. 2015. Prehistoric Settlement Evolution and Early Civilization in the Lower Yangtze River Region. In: Center for Chinese Archaeology, Peking University. Settlement Evolution and Early Civilization. Beijing: Cultural Relics Press.

Roth A E. 1988. The Shapley Value: Essays in Honor of Lloyd S. Shapley. Cambridge: Cambridge University Press.

Santos R B. 2017. Crime Analysis with Crime Mapping: Fourth Edition. Los Angeles: SAGE Publications Inc.

Scott M. 2017. The Reasoning Criminal: Rational Choice Perspectives on Offending. London: Routledge.

Snook B, Cullen R M, Mokros A, and Harbort S. 2005. Serial Murderers' Spatial Decisions: Factors That Influence Crime Location Choice. Journal of Investigative Psychology and Offender Profiling, 2(3): 147-164.

王政勋. 2022. 论盗掘古文化遗址、古墓葬罪的实行行为. 中国政法大学学报,(2):250-263.

Wang Zhengxun. 2022. On the Perpetration of Crimes of Tomb Looting and Desecration of Ancient Cultural Sites. Journal of China University of Political Science and Law, (2): 250-263.

魏桐轩,李红卫. 2024. 审理盗掘古文化遗址、古墓葬犯罪案件需注意的几个问题. 人民司法,(1):113.

Wei Tongxuan and Li Hongwei. 2024. Issues for Attention in the Trial of Criminal Cases of Piracy and Excavation of Ancient Cultural Sites and Ancient Tombs. People's Justice, (1): 113.

肖露子,柳林,宋广文,周素红,龙冬平,冯嘉欣. 2017. 基于理性选择理论的社区环境对入室盗窃的影响研究. 地理研究,36(12):2479-2491.

Xiao Luzi, Liu Lin, Song Guangwen, Zhou Suhong, Long Dongping, and Feng Jiaxin. 2017. Impacts of Community Environment on Residential Burglary Based on Rational Choice Theory. Geographical Research, 36(12): 2479-2491.

新华社. 2013. 中共中央关于全面深化改革若干重大问题的决定. (2013-11-15)[2025-10-15]. https://www.gov.cn/zhengce/2013-11/15/content_5407874.htm.

Xinhua News Agency. 2013. Decision of the Central Committee of the Communist Party of China on Some Major Issues Concerning Comprehensively Deepening Reform. (2013-11-15) [2025-10-15]. https://www.gov.cn/zhengce/2013-11/15/content_5407874.htm.

新华社. 2022. 在中国共产党第二十次全国代表大会上的报告. (2022-10-25)[2025-10-15]. https://www.gov.cn/xinwen/2022-10/25/content_5721685.htm.

Xinhua News Agency. 2022. Report to the 20th National Congress of the Communist Party of China. (2022-10-25) [2025-10-15]. https://www.gov.cn/xinwen/2022-10/25/content_5721685.htm.

徐冲,柳林,周素红,叶信岳,姜超. 2013. DP半岛街头抢劫犯罪案件热点时空模式. 地理学报,68(12):1714-1723.

Xu Chong, Liu Lin, Zhou Suhong, Ye Xinyue, and Jiang Chao. 2013. The Spatio-Temporal Patterns of Street Robbery in DP Peninsula. Acta Geographica Sinica, 68(12): 1714-1723.

徐为民. 2017. 陕西帝王陵墓志. 西安:三秦出版社.

Xu Weimin. 2017. Annals of Imperial Mausoleums in Shaanxi. Xi'an: Sanqin Press.

徐雨萌. 2019. 盗掘古文化遗址、古墓葬犯罪侦查机制研究. 北京:中国人民公安大学.

Xu Yumeng. 2019. Research on Criminal Investigation Mechanism of Illegally Excavating and Robbing Ancient Cultural Sites or Ancient Tombs. Beijing: People's Public Security University of China.

薛瑞麟. 2003. 论盗掘古文化遗址、古墓葬罪. 政法论坛,(3):96-104.

Xue Ruilin. 2003. On the Crime of Excavating Ancient Cultural Sites and Ancient Tombs. Political and Legal Forum, (3): 96-104.

Yang J and Huang X. 2024. The 30 m Annual Land Cover Datasets and Its Dynamics in China from 1985 to 2023. (2024-08-01) [2024-09-01]. https://zenodo.org/records/12779975.

Zhai Y, Lv H, and Ding N. 2023. Trend Analysis and Prediction of Heritage Crime in China Using Prophet Model. (2023-01-13) [2024-09-01]. https://doi.org/10.1117/12.2656758

中华人民共和国国家统计局. 2017. 中国县域统计年鉴2016(乡镇卷). 北京:中国统计出版社.

National Bureau of Statistics of the People's Republic of China. 2017. China County Statistical Yearbook 2016(Township Volume). Beijing: China Statistics Press.

Outlines

/